@ines______

32 Publicaciones

345 Interacciones

2 Seguidores

0 Siguiendo

Lista de publicaciones de ines______

He publicado nuevos apuntes de 3º álgebra Conmutativa: Tema-1-y-2-INES.pdf

10 páginas

He publicado nuevos apuntes de 3º álgebra Conmutativa: Tema-4-INES.pdf

17 páginas

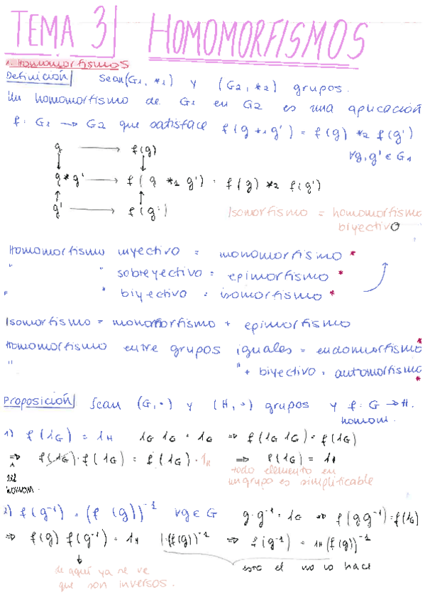
He publicado nuevos apuntes de 3º álgebra Conmutativa: Tema-3-INES.pdf

17 páginas

He publicado nuevos ejercicios de 3º Modelización Matemática: dinamica-de-salud-ejercicios.pdf

8 páginas

He publicado nuevos ejercicios de 3º Modelización Matemática: interaccionara-entre-especies-ejercicios.pdf

4 páginas

ejercicios

-

relación ejercicios

He publicado nuevos ejercicios de 2º Curvas y Superficies: relación ejercicios

curvas-1.pdf
curvas-2.pdf
superficies-1.pdf
superficies-2.pdf

apuntes

-

teoria

He publicado nuevos apuntes de 2º Curvas y Superficies: teoria

tema-2.pdf
tema-3.pdf
tema-1.pdf
tema-4.pdf
tema-5.pdf

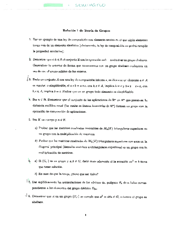
He publicado nuevos ejercicios de 2º Estructuras Algebraicas: entrega-ejercicios-grupos.pdf

6 páginas

ejercicios

-

relación ejercicios

He publicado nuevos ejercicios de 2º Estructuras Algebraicas: relación ejercicios

relacion-1.pdf
relacion-1-enunciado.pdf
relacion-2.pdf
relacion-2-enunciado.pdf
relacion-3.pdf
relacion-3-enunciado.pdf

apuntes

-

teoria

He publicado nuevos apuntes de 2º Estructuras Algebraicas: teoria

tema-1.pdf
tema-2.pdf
tema-3.pdf
tema-4--5.pdf
tema-6.pdf