@inesogomes

84 Publicaciones

1.84k Interacciones

2 Seguidores

0 Siguiendo

Lista de publicaciones de inesogomes

apuntes

-

Fundamentos de Química

He publicado nuevos apuntes de 1º Fundamentos de Química: Fundamentos de Química

QUIMICA23septal07oct2022.pdf

apuntes

-

Biología (Apuntes Clase)

He publicado nuevos apuntes de 1º Biología Celular: Biología (Apuntes Clase)

Biologia-15-19-22-SEPT22-2.pdf

apuntes

-

Fisiología 20-23-SEPT22

He publicado nuevos apuntes de 1º Fisiología Humana: Fisiología 20-23-SEPT22

Fisiologia-20-23-SEPT-2.pdf

apuntes

-

Bioquímica (Apuntes de clase)

He publicado nuevos apuntes de 1º Bioquímica: Bioquímica (Apuntes de clase)

Bioquimica-14-20-21-SEPT-3.pdf

He publicado nuevos apuntes de 3º Metodos de Decision: T1_introduccion.pdf

8 páginas

He publicado nuevos apuntes de 3º Metodos de Decision: T02_anexo_programacion_lineal.pdf

pdf

He publicado nuevos apuntes de 3º Metodos de Decision: T2_utilidad_apendice.pdf

3 páginas

He publicado nuevos apuntes de 3º Análisis y Consolidación Contable: El Estado de Origen y Aplicación de Fondos (1).pdf

2 páginas

He publicado nuevos ejercicios de 1º Matemáticas Empresariales I: HOJA 6 ecuaciones grado.pdf

1 página

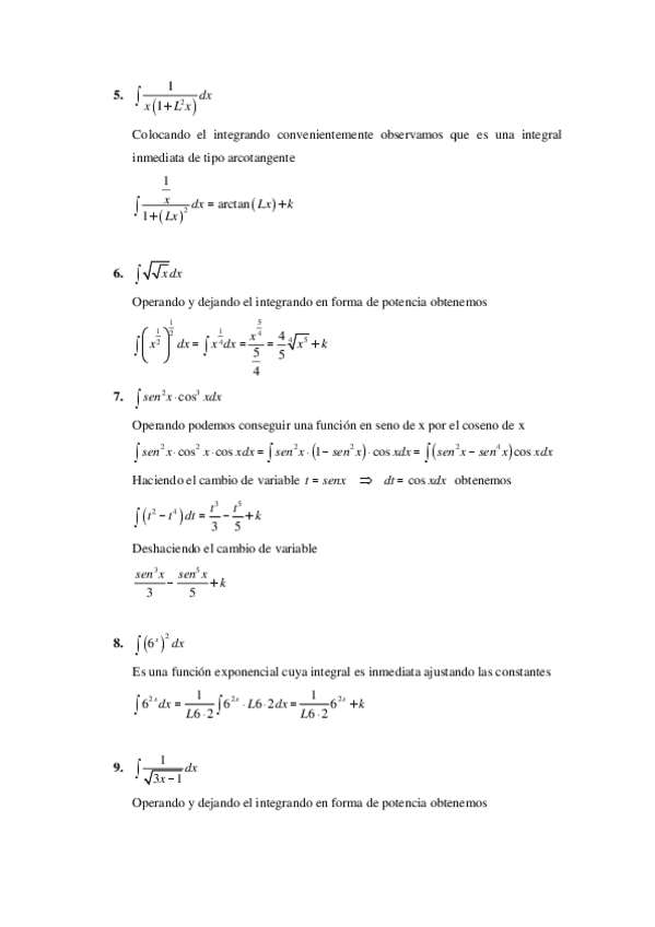
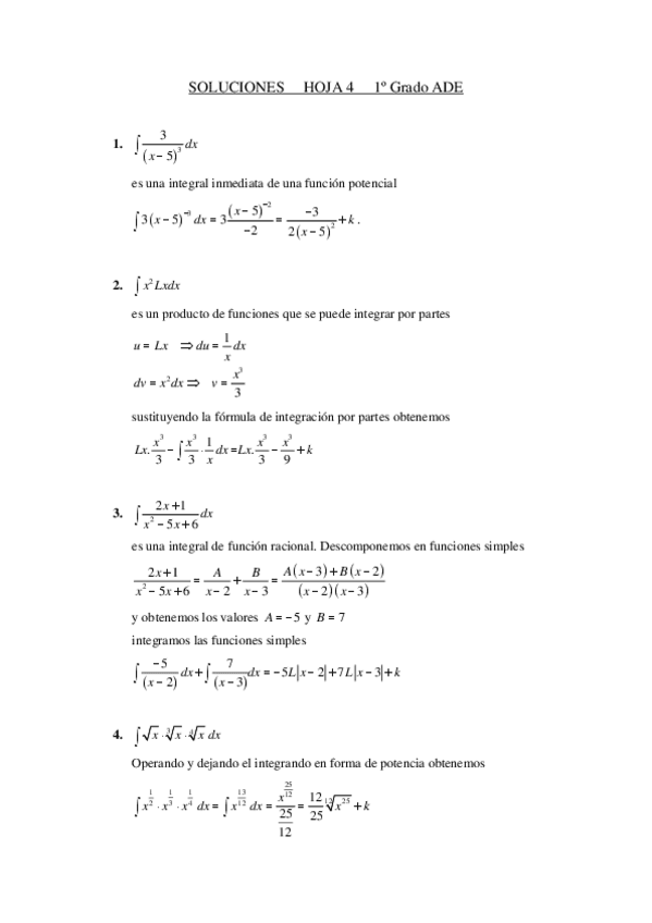
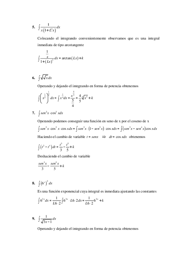
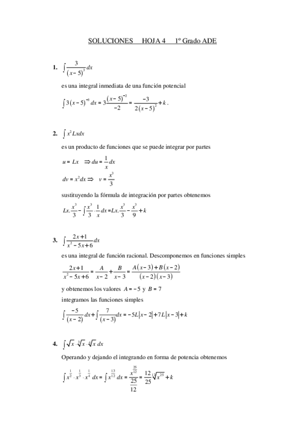
He publicado nuevos ejercicios de 1º Matemáticas Empresariales I: SOLUCIONES_HOJA_4_grado.pdf

10 páginas

apuntes

-

Continuación "apuntes en Diapositivas"

He publicado nuevos apuntes de 1º Fundamentos de administración financiera de la empresa: Continuación "apuntes en Diapositivas"

FAFE_-_tema_8.pdf
FAFE_-_tema_9.pdf

examenes

-

Exámenes Micro

He publicado nuevos examenes de 1º Microeconomía: Exámenes Micro

MICRO_EX_EXTR_4_julio_2013.pdf
exmicGADESEP10.pdf
exmicGADEjun2012.pdf
ExamenmicGADEjun13.pdf
EX_MICROGADEJUN10.pdf
ex_micro_Gadejunio_2011.pdf

apuntes

-

Apuntes en Diapositivas

He publicado nuevos apuntes de 1º Fundamentos de administración financiera de la empresa: Apuntes en Diapositivas

TEMA 1.pdf
FAFE_-_tema_2.pdf
FAFE_-_tema_2_-_parte_practica.pdf
FAFE_-_tema_3.pdf
Tema_4_1_Los_estados_financieros_de_la_empresa_Finanzas_para_Directivos_Tema_2.pdf
Tema_4_CUENTAS_ANUALES_FAFE_1_1_.pdf

practicas

-

Prácticas Micro

He publicado nuevos practicas de 1º Microeconomía: Prácticas Micro

practica1-produccion_costes.pdf
practica2-comp_perfecta.pdf
practica3-monopolio.pdf
practica4-oligopolio.pdf
practica5-consumo.pdf
practica5-consumo_extra.pdf

apuntes

-

Resúmenes Temas 3, 4 y 5

He publicado nuevos apuntes de 1º Fundamentos de administración financiera de la empresa: Resúmenes Temas 3, 4 y 5

Tema_3_Resumen_Finanzas_Para_Directivos.pdf
Tema_5_Resumen_temas_3_y_4_Finanzas_para_directivos.pdf

apuntes

-

Diapositivas

He publicado nuevos apuntes de 1º Historia Económica: Diapositivas

TEMA 1.pdf
TEMA 2.pdf
TEMA 3.pdf
TEMA 4.pdf
TEMA 5.pdf
TEMA 6.pdf

practicas

-

Prácticas

He publicado nuevos practicas de 1º Introducción a la Economía: Prácticas

Práctica 1.pdf
Práctica 2.pdf
Práctica 3.pdf
Práctica 4.pdf
Práctica 5.pdf
Práctica 6.pdf