@inge_mdf

74 Publicaciones

1.87k Interacciones

4 Seguidores

0 Siguiendo

Lista de publicaciones de inge_mdf

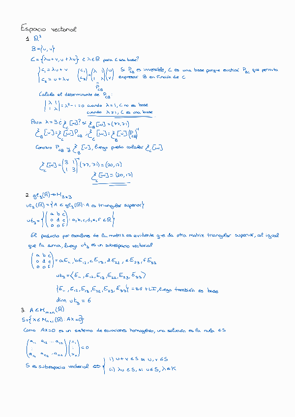
Cuaderno de prácticas resuelto con la parte de teoría y todos los ejercicios

35 páginas

Apuntes con los comandos útiles del primer parcial en Mathematica

4 páginas

He publicado nuevos ejercicios de 1º Matemáticas I: relacionejerciciosresueltos.pdf

33 páginas

He publicado nuevos examenes de 1º Física I: Examenesfinalesresueltos.pdf

16 páginas

Al imprimirlo en A5 se ve bien

2 páginas

Al imprimirlo en A5 se ve bien

2 páginas

Examen primera ordinaria 2025 problemas

2 páginas

practicas

-

Prácticas

Apuntes prácticas 2025 y algunas soluciones examen prácticas T4

P1informe.pdf
Apuntespractica1.pdf
P2socketsyDNS.pdf
P3EntregapracticaTCP.pdf
P4subredes.pdf
Enunciado-examen-practico-del-tema-4sinsubredes2019.pdf

Formulario examen de prácticas

1 página

practicas

-

Prácticas MATLAB resueltas

He publicado nuevos practicas de 2º Fundamentos de Control: Prácticas MATLAB resueltas

p1.pdf
p2.pdf
p3.pdf
p4.pdf
p5LaboratoriociruitoRLCsegundoorden.pdf
p81DiagramasdeBode.pdf

apuntes

-

Ejercicios curso completo CON SOLUCIONES

Apuntes del curso completo con los ejercicos resueltos y explicado

T5Dinamicademaquinas.pdf
T6Sistemasdetransmisiondemovimiento.pdf
T7Trenesdeengranajes.pdf
T2analisiscinematicodemecanismosplanos.pdf
T3analisisdinamicodemecanismosplanos.pdf

Examen Juni 2023 Fundamentos de control

5 páginas

Examen primera ordinaria 2025 TEORÍA y PROBLEMAS

3 páginas

Examen parcial diciembre 2024

5 páginas

Examen parcial noviembre 2024

2 páginas

examenes

-

Exámenes CON SOLUCIÓN

Exámenes finales últimos años

ExamenFebrero2023.pdf
Examenfebrero17.pdf
Examenseptiembre2021CON-TEORIA.pdf

Examen parcial noviembre 2023 resuelto por el profesor con apuntes

6 páginas