@IngenierosTOP

458 Publicaciones

10.06k Interacciones

4 Seguidores

3 Siguiendo

Lista de publicaciones de IngenierosTOP

He publicado nuevos apuntes de 2º Mecánica de Fluidos: teoria-tema-movimiento-turbulento.docx

word

He publicado nuevos apuntes de 2º Mecánica de Fluidos: teoria-flujo-unidireccional-flujo-laminar-.docx

word

He publicado nuevos apuntes de 2º Mecánica de Fluidos: Problema-analisis-dimensional-.docx

word

He publicado nuevos apuntes de 2º Mecánica de Fluidos: teoria-tema-analisis-dimensional.docx

word

He publicado nuevos apuntes de 2º Mecánica de Fluidos: Problemas-ecuaciones-generales-2-.docx

word

He publicado nuevos apuntes de 2º Mecánica de Fluidos: Problemas-ecuaciones-generales-1.docx

word

He publicado nuevos apuntes de 2º Mecánica de Fluidos: teoria-tema-ecuaciones-generales.docx

word

He publicado nuevos apuntes de 2º Mecánica de Fluidos: Problemas-tema-cinematica.docx

word

He publicado nuevos apuntes de 2º Mecánica de Fluidos: teoria-tema-cinematica.docx

word

He publicado nuevos apuntes de 2º Mecánica de Fluidos: Problemas-tema-fluidostatica-.docx

word

He publicado nuevos apuntes de 2º Mecánica de Fluidos: teoria-tema-fluidstatica-.docx

word

He publicado nuevos apuntes de 2º Mecánica de Fluidos: INFORME6GRUPOV4-1.docx

word

He publicado nuevos apuntes de 2º Mecánica de Fluidos: Prctica4MF.pdf

10 páginas

He publicado nuevos apuntes de 2º Mecánica de Fluidos: CUESTIONARIO-PRACTICA-3.pdf

3 páginas

He publicado nuevos apuntes de 2º Mecánica de Fluidos: practica-2-acabada.pdf

13 páginas

He publicado nuevos apuntes de 2º Mecánica de Fluidos: Prctica2Presinsobresuperficiesplanas2hecha.pdf

10 páginas

He publicado nuevos apuntes de 2º Mecánica de Fluidos: INFORME1GRUPOV4-1.pdf

10 páginas

He publicado nuevos practicas de 2º Mecánica de Fluidos: INFORME6GRUPOV4-1.docx

word

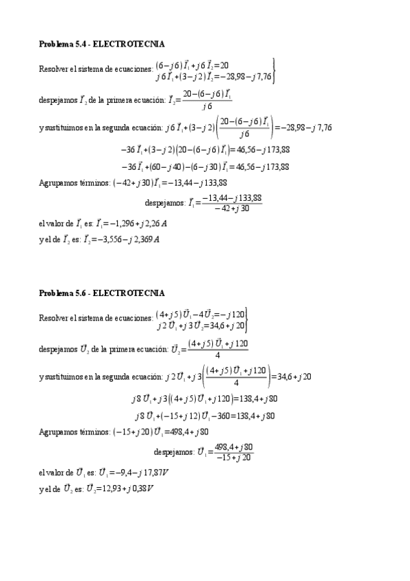
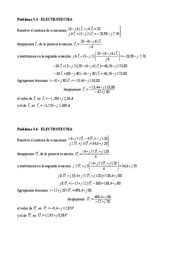
He publicado nuevos examenes de 2º Electrotecnia: Problema-5.pdf

1 página

apuntes

-

Problema y SOLUCION tema 4

He publicado nuevos apuntes de 2º Electrotecnia: Problema y SOLUCION tema 4

SOLU-4.pdf
PRO-4.pdf