@ingsinfronteras

Bio: Tranquilo, ingeniero sin fronteras ya llegó para salvarte de la compensación El roobin hood de la ingenieria, El salvador de tu peor cuatrismestre apuntes, examenes, entregables, ejercicios de contrabando a toda costa para joder a la upc, y a la academia también ;)

43 Publicaciones

2.27k Interacciones

4 Seguidores

0 Siguiendo

Lista de publicaciones de ingsinfronteras

He publicado nuevos ejercicios de 4º Ingeniería Térmica: ActivitatA1ETMcuatriotono25-26.pdf

5 páginas

He publicado nuevos ejercicios de 4º Ingeniería Térmica: ActivitatA4ETMcuatriotono25-26.pdf

9 páginas

He publicado nuevos ejercicios de 4º Ingeniería Térmica: ActivitatA5ETMcuatriotono25-26.pdf

5 páginas

He publicado nuevos ejercicios de 4º Ingeniería Térmica: ActivitatA2ETMcuatriotono25-26.pdf

6 páginas

He publicado nuevos ejercicios de 4º Ingeniería Térmica: ActivitatA3ETMcuatriotono25-26.pdf

5 páginas

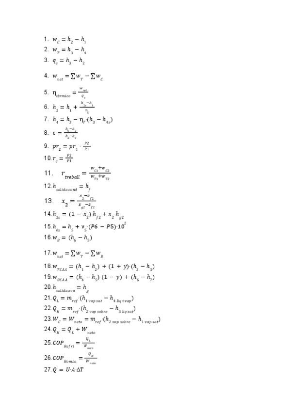
He publicado nuevos apuntes de 4º Ingeniería Térmica: Formulario-ETM-FINAL-1.pdf

2 páginas

He publicado nuevos examenes de 4º Organización de la Producción: OP-2526-Q1-Laboratori-Solucion.pdf

2 páginas

He publicado nuevos examenes de 4º Organización de la Producción: OP-2526-Q1-Final.pdf

9 páginas

He publicado nuevos examenes de 4º Organización de la Producción: OP-2526-Parcial-Resolt.pdf

6 páginas

He publicado nuevos ejercicios de 4º Ingeniería Térmica: Entregable-3-2025-Quatri-de-tardor.pdf

4 páginas

He publicado nuevos apuntes de 3º Ingeniería de Fluidos: Formulario-FINAL-EFM.pdf

1 página

He publicado nuevos practicas de 3º Diseño de Máquinas: cuestionario-2-resuelto.pdf

1 página

He publicado nuevos apuntes de 3º Proyectos de Ingeniería: Formulario-PE-final.pdf

1 página

He publicado nuevos examenes de 3º Estructuras y construcciones industriales: Resolucion-portico-examen.pdf

3 páginas

He publicado nuevos test de 3º Fabricación: CuestionarioCNCprevio.pdf

1 página

He publicado nuevos ejercicios de 3º Ingeniería de Fluidos: EntregableAnalisisdimensionalEFM.pdf

1 página

He publicado nuevos examenes de 3º Ciencia e Ingeniería de Materiales: Solucion-Examen-Final-24-25.pdf

4 páginas

He publicado nuevos examenes de 3º Ciencia e Ingeniería de Materiales: TEORIA-parcial-1-solucionada.pdf

2 páginas

He publicado nuevos examenes de 3º Ciencia e Ingeniería de Materiales: P2-2024-solucionado.pdf

2 páginas

He publicado nuevos examenes de 3º Ciencia e Ingeniería de Materiales: P1-2024-solucionado.pdf

3 páginas