Lista de publicaciones de Inma126

apuntes

-

TEMAS 1-5 GRAMÁTICA

He publicado nuevos apuntes de 3º Gramática Inglesa: TEMAS 1-5 GRAMÁTICA

TEMA-4-GRAMATICA-Inma.pdf
TEMA-2-GRAMATICA-Inma.pdf
TEMA-5-GRAMATICA-Inma.pdf
TEMA-1-GRAMATICA-Inma.pdf
TEMA-3-GRAMATICA-Inma.pdf

He publicado nuevos apuntes de 4º Aplicaciones de las Tic en Los Estudios Ingleses: RESUMEN-TICS-TODO-UNIDO.pdf

29 páginas

apuntes

-

TEMAS 1 Y 2 LITERATURA INGLESA III

He publicado nuevos apuntes de 3º Literatura Inglesa IIi: Pensamiento y Creación Literaria en la 1.ª Mitad del Siglo XX: TEMAS 1 Y 2 LITERATURA INGLESA III

LITE-III-TEMA-1.pdf
resumen-tema-2-lite-III-Inma.pdf

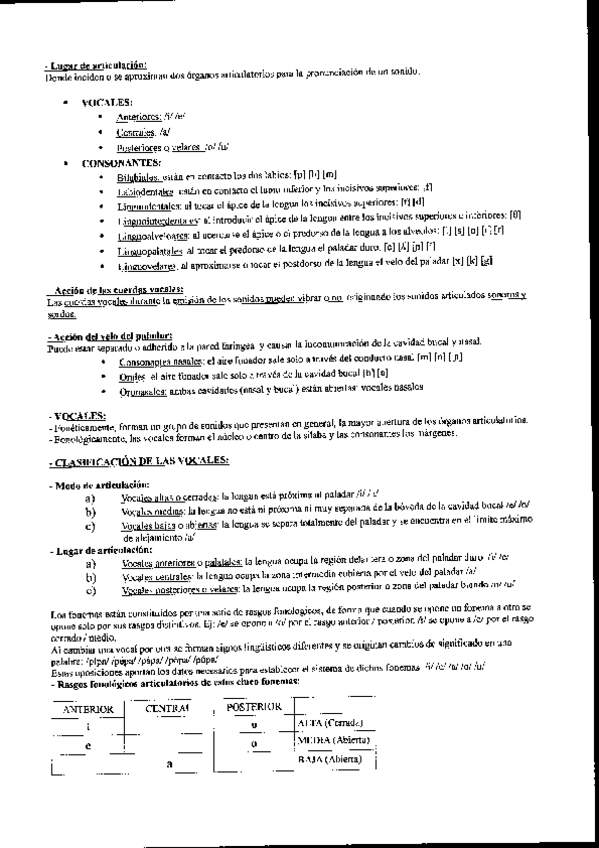
He publicado nuevos apuntes de 3º Variaciones Fonético-Fonológicas de la Lengua Inglesa: T.2 - RP and WELSH ENGLISH.pdf

21 páginas

He publicado nuevos apuntes de 3º Variaciones Fonético-Fonológicas de la Lengua Inglesa: Variaciones - T1 Introduction.pdf

16 páginas

He publicado nuevos apuntes de 1º Literatura Inglesa I: Ejes de la Literatura Medieval y Renacentista: T 10 - POESÍA DEL S. XVII.pdf

39 páginas

He publicado nuevos otros de 1º Literatura Inglesa I: Ejes de la Literatura Medieval y Renacentista: PEC 2 The Tempest - nota- 10.pdf

3 páginas

He publicado nuevos apuntes de 1º Literatura Inglesa I: Ejes de la Literatura Medieval y Renacentista: Scan 4 May 18.pdf

36 páginas

He publicado nuevos apuntes de 1º Literatura Inglesa I: Ejes de la Literatura Medieval y Renacentista: T8 - THE TEMPEST.pdf

26 páginas

He publicado nuevos apuntes de 1º Literatura Inglesa I: Ejes de la Literatura Medieval y Renacentista: T7 - KING LEAR.pdf

30 páginas

apuntes

-

T6 AS YOU LIKE IT

He publicado nuevos apuntes de 1º Literatura Inglesa I: Ejes de la Literatura Medieval y Renacentista: T6 AS YOU LIKE IT

T6 - AS YOU LIKE IT.pdf
AS YOU LIKE IT.pdf

He publicado nuevos apuntes de 1º Comunicación Oral y Escrita en Lengua Española II: TEMA 5.pdf

6 páginas

He publicado nuevos apuntes de 1º Comunicación Oral y Escrita en Lengua Española I: TEMA 1 EL ESPAÑOL EN EL MUNDO - LENGUA ROMANCE Y LENGUA UNIVERSAL PDF.pdf

5 páginas

He publicado nuevos examenes de 1º Literatura Inglesa I: Ejes de la Literatura Medieval y Renacentista: Examen Ejes primera semana feb-18 nota 8-8.pdf

8 páginas

He publicado nuevos trabajos de 1º Comentario de Textos Literarios en Lengua Inglesa: PEC 2016-17 NOTA 1.90 sobre 2.docx

word

He publicado nuevos apuntes de 1º Comunicación Oral y Escrita en Lengua Española I: TEMA 4 - ACENTUACIÓN Y PUNTUACIÓN - PRINCIPALES NORMAS ORTOGRÁFICAS. APLICACIONES A LA PRODUCCIÓN Y COMPRENSIÓN DE TEXTOS.pdf

11 páginas

He publicado nuevos otros de 1º Literatura Inglesa I: Ejes de la Literatura Medieval y Renacentista: PEC_Primer_cuatrimestre.doc

word

apuntes

-

TEMA 1

He publicado nuevos apuntes de 1º Comunicación Oral y Escrita en Lengua Española II: TEMA 1

TEMA 1 - ESQUEMA.pdf
TEMA 1.pdf

He publicado nuevos apuntes de 1º Comunicación Oral y Escrita en Lengua Española II: TEMA 4.pdf

15 páginas

He publicado nuevos apuntes de 1º Comunicación Oral y Escrita en Lengua Española I: RECUADROS GRISES MANUAL COELE I.pdf

6 páginas