@inmamontiel

67 Publicaciones

1.39k Interacciones

10 Seguidores

1 Siguiendo

Lista de publicaciones de inmamontiel

practicas

-

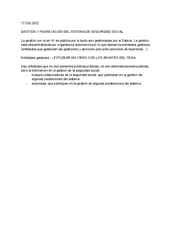
Derecho de la protección social

He publicado nuevos practicas de 3º Derecho de la Protección Social: Derecho de la protección social

2022-5.1.-CASOS-PRACTICOS-PNC-TAREA-3.docx.pdf
Practica-tema-5.docx-1.pdf
Practica-de-clase.pdf
MICROCASOS-MUERTE-Y-SUPERVIVENCIA-2022.docx.pdf
INGRESO-MINIMO-VITAL--CASOS-PRACTICOS-2021.pdf
IMV-2.pdf

apuntes

-

Derecho de la protección social

He publicado nuevos apuntes de 3º Derecho de la Protección Social: Derecho de la protección social

Tema-8-1.pdf
Tema-7-1.pdf
Tema-6-1.pdf
Tema-5-1.pdf
Tema-4-1.pdf
Tema-3-1.pdf

He publicado nuevos apuntes de 1º Psicología Social II: psicologia-II.pdf

92 páginas

apuntes

-

sociología I

He publicado nuevos apuntes de 1º Sociologia I: sociología I

Tema-1-sociologia.pdf
TEMA-3-sociologia.pdf
TEMA-2-sociologia.pdf
Tema-4-sociologia.pdf
Tema-5-sociologia.pdf
TEMA-6-sociologia.pdf

apuntes

-

psicologia social I

He publicado nuevos apuntes de 1º Psicología Social I: psicologia social I

Tema-1.pdf
TEMA-2-PS.pdf
TEMA-3-PS.pdf
TEMA-4-PS.pdf
TEMA-5-PS.pdf
TEMA-6-PS.pdf

apuntes

-

Antropología

He publicado nuevos apuntes de 1º Antropología: Antropología

antropologia-tema-1.pdf
tema-2-antropologia.pdf
Tema-2.pdf
bloque-2-antropologia.pdf

apuntes

-

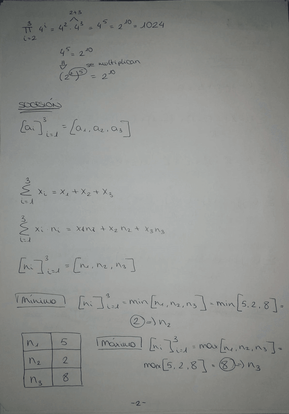
Estadistica

He publicado nuevos apuntes de 1º Estadística: Estadistica

8.jpg
6.jpg
3.jpg
5.jpg
10.jpg
2.jpg