@inmime

17 Publicaciones

282 Interacciones

1 Seguidores

1 Siguiendo

Lista de publicaciones de inmime

apuntes

-

APUNTES PARTÍCULAS

Los apuntes del profesor más resumen del libro de Antonio Ferrer, es un tocho pero está todo lo necesario y más <3.

APUENTES-PARTICULASCOMPLETO.pdf
APUENTES-PARTICULASINDICE.pdf
APUENTES-PARTICULAST1-INTRODUCCION.pdf
APUENTES-PARTICULAST2-CINEMATICA-RELATIVISTA.pdf
APUENTES-PARTICULAST3-SIMETRIAS.pdf
APUENTES-PARTICULAST4-MODELO-DE-QUARKS.pdf

He publicado nuevos ejercicios de 3º Física Cuántica: Rel-2-2223-Segunda-Parte.pdf

30 páginas

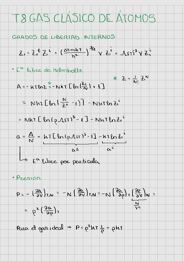
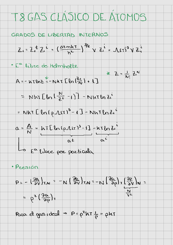
He publicado nuevos apuntes de 3º Física Estadística: Demostraciones-Estadistica-T8-14.pdf

41 páginas

He publicado nuevos apuntes de 3º Física Cuántica: T4-MOMENTO-ANGULAR.pdf

40 páginas

He publicado nuevos apuntes de 3º Electromagnetismo: TEMA-3-ELECTRODINAMICA.pdf

18 páginas

He publicado nuevos apuntes de 3º Electromagnetismo: TEMA-2-CAMPO-MAGNETOSTATICO.pdf

6 páginas

He publicado nuevos apuntes de 3º Electromagnetismo: TEMA-1-CAMPO-ELECTROSTATICO.pdf

18 páginas

He publicado nuevos ejercicios de 3º Física Cuántica: RELACION-3.pdf

16 páginas