@InsNes_kb

Estudios: Bachillerato ...Mostrar más

Bio: ª

23 Publicaciones

6 Interacciones

1 Seguidores

1 Siguiendo

Lista de publicaciones de InsNes_kb

He publicado nuevos apuntes de 1º Física y Química

https://youtu.be/YtXAYtug-PY?si=qYklLuJH-htJTySz

apuntes

-

Vectores y Geometría Analítica

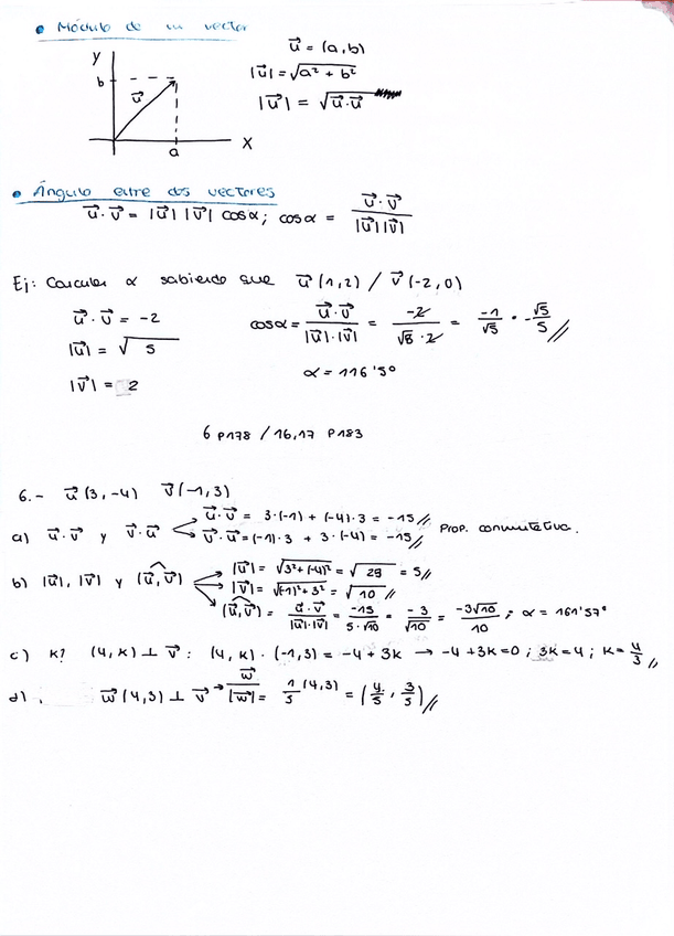
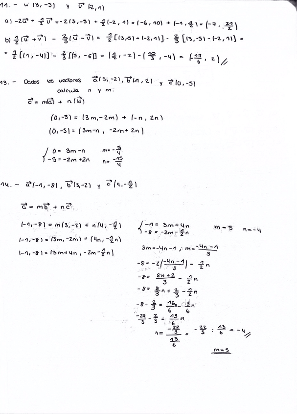
He publicado nuevos apuntes de 1º Matemáticas I: Vectores y Geometría Analítica

image0.jpeg
image1.jpeg
image2.jpeg
image3.jpeg
image4.jpeg
image5.jpeg