@IQ_L16

Estudios: Grado en Ingeniería Química (UNIZAR) ...Mostrar más

55 Publicaciones

1.89k Interacciones

3 Seguidores

3 Siguiendo

Lista de publicaciones de IQ_L16

He publicado nuevos test de 2º Ingeniería de Materiales: Preguntas-test-Materiales.pdf

13 páginas

He publicado nuevos apuntes de 1º Expresión Gráfica y Diseño Asistido Por Ordenador: Todo-Diedrico-Teoria-Tareas-Ejercicios.pdf

69 páginas

He publicado nuevos ejercicios de 1º Matemáticas III: Ejercicios-Fourier.pdf

13 páginas

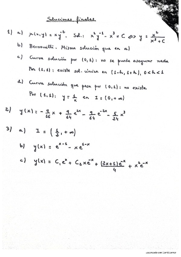
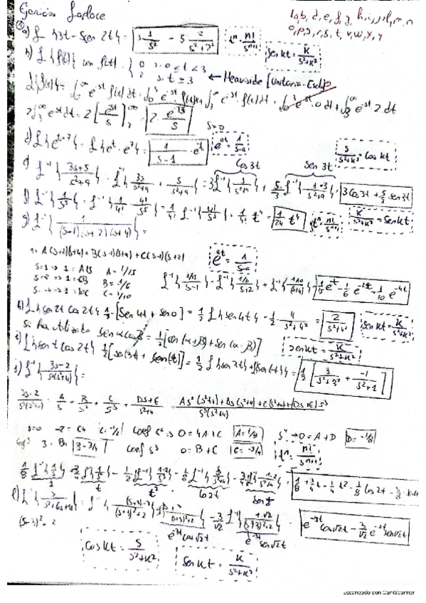
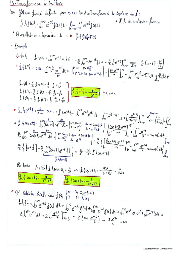
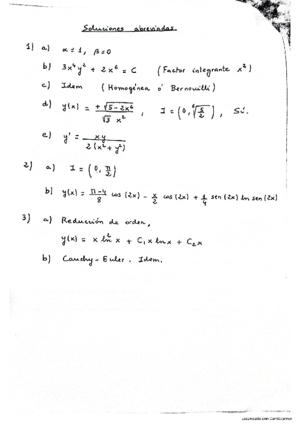
He publicado nuevos ejercicios de 1º Matemáticas III: Ejercicios-Laplace.pdf

8 páginas

He publicado nuevos examenes de 1º Matemáticas III: Examen-26-abril-2022.pdf

5 páginas

He publicado nuevos examenes de 1º Matemáticas III: Examen-27-marzo-2023.pdf

6 páginas

He publicado nuevos examenes de 1º Matemáticas III: Examen-13-abril-2021.pdf

5 páginas

He publicado nuevos examenes de 1º Matemáticas III: Examen-2convocatoria-9-9-2021.pdf

7 páginas

He publicado nuevos examenes de 1º Matemáticas III: Examen-1-convocatoria-10-junio-2021.pdf

4 páginas

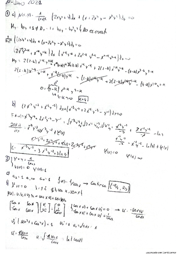
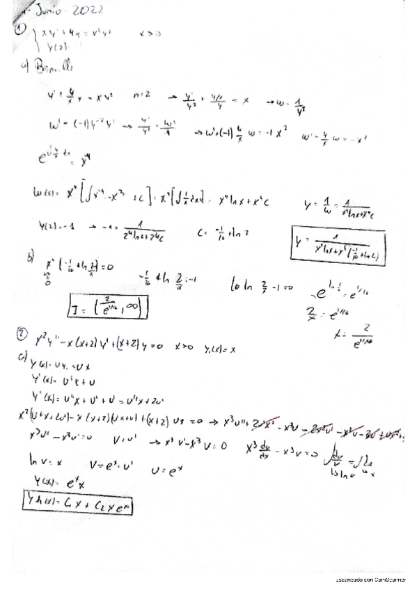
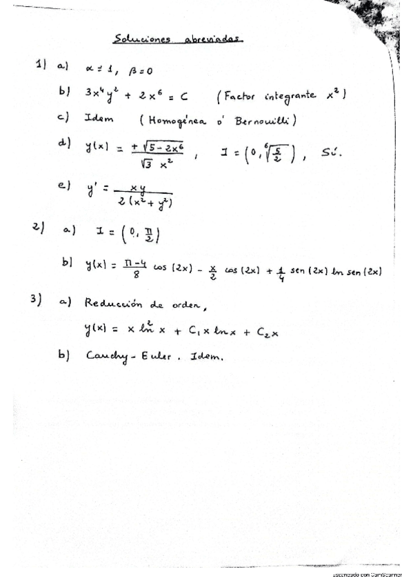
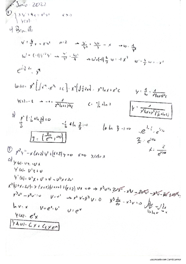
He publicado nuevos examenes de 1º Matemáticas III: Examen-1convocatoria-14-junio-2022.pdf

7 páginas

He publicado nuevos examenes de 1º Matemáticas III: Examen-2convocatoria-9-9-2022.pdf

5 páginas

He publicado nuevos examenes de 1º Matemáticas III: Examen-1convocatoria-22-mayo-2023.pdf

5 páginas

He publicado nuevos ejercicios de 1º Matemáticas III: ejercicios-ecuaciones-lineales-de-orden-superior.pdf

20 páginas

He publicado nuevos apuntes de 1º Matemáticas III: C5-Transformada-de-La-Place--C6-Series-de-Fourier-Ecuaciones-en-derivadas-parciales.pdf

33 páginas

He publicado nuevos apuntes de 1º Matemáticas III: C3-Ec-lineales-de-orden-superior--C4-sistemas-de-EDOS.pdf

36 páginas

He publicado nuevos apuntes de 1º Matemáticas III: C1-Introduccion-a-las-ecuaciones-diferenciales--C2-EDOS-de-primer-orden.pdf

43 páginas

He publicado nuevos apuntes de 1º Matemáticas III: capitulo-1-introduccion-a-las-ecuaciones-diferenciales.pdf

6 páginas

He publicado nuevos apuntes de 1º Matemáticas III: capitulo-3-Ecuaciones-lineales-de-orden-superior.pdf

19 páginas

He publicado nuevos apuntes de 1º Matemáticas III: Capitulo-2.pdf

17 páginas

He publicado nuevos examenes de 1º Física II: Examenes-Fisica.pdf

3 páginas