@isavillalta03

Estudios: Grado en Biotecnología (UNIZAR) ...Mostrar más

Bio: Subo resoluciones de ejercicios de examen de las asignaturas de biotecnología. Resolución explicada con detalle. Para más contenido así, contactadme al correo: isavillalta03@gmail.com. Os ayudaré en lo que pueda.

77 Publicaciones

1.66k Interacciones

4 Seguidores

4 Siguiendo

Lista de publicaciones de isavillalta03

He publicado nuevos apuntes de 2º Microbiología: Clasificacion-bacterias-y-pared-celular.pdf

19 páginas

practicas

-

Prácticas FiVE apuntes y fotos

He publicado nuevos practicas de 2º Fisiología Vegetal: Prácticas FiVE apuntes y fotos

Miniatura no disponible
Fotos-practicas-FiVe.zip
Practicas-FiVe-apuntes.pdf

Breve recopilatorio de esquemas para ayudar al estudio de la asignatura, son muy visuales cualquier cosa que no entendáis podéis preguntarme al correo isavillalta03@gmail.com

24 páginas

He publicado nuevos apuntes de 1º Biología General: TAXONOMIA-Y-FILOGENIAS.pdf

8 páginas

He publicado nuevos apuntes de 1º Física: Magnetismo-y-optica.pdf

26 páginas

ejercicios

-

Hojas 4 5 6 física resueltas 1er cuatri

He publicado nuevos ejercicios de 1º Física: Hojas 4 5 6 física resueltas 1er cuatri

Hoja-4-ROTACIONES.pdf
Hoja-6-fisica-1.pdf
Hoja-5-oscilaciones.pdf

He publicado nuevos ejercicios de 1º Física: Sistema-2-lentes-marcha-de-rayos.pdf

1 página

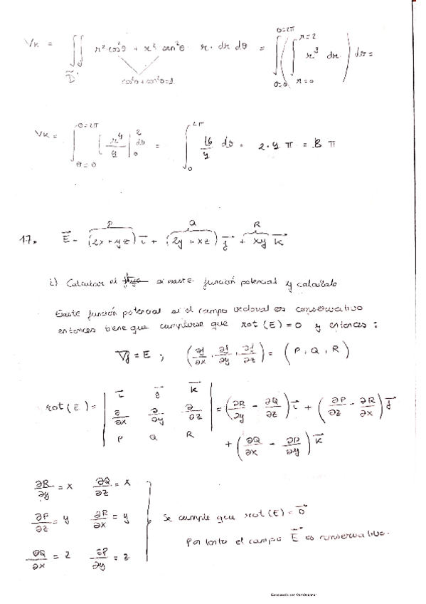
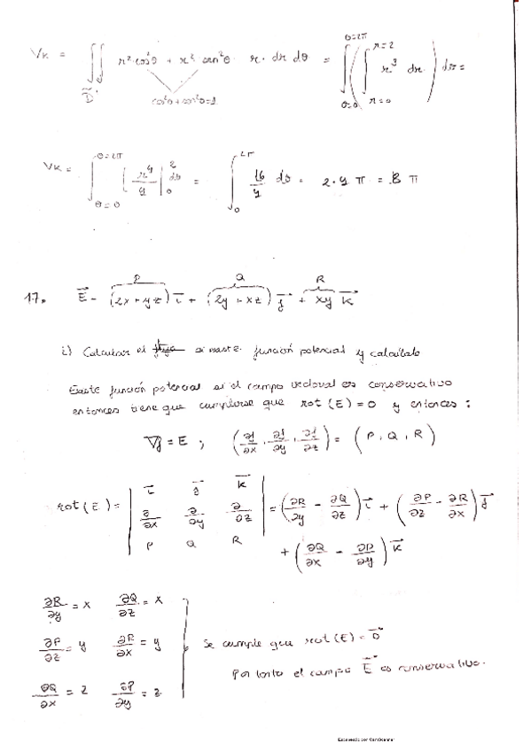
He publicado nuevos apuntes de 1º Matemáticas: Ejercicios-integral-triple-y-funcion-potencial-de-campo-vectorial.pdf

6 páginas

He publicado nuevos apuntes de 1º Matemáticas: RESUELTA-Hoja-10-EDOS.pdf

18 páginas

apuntes

-

EJERCICIO RESUELTOS DE GENÉTICA

He publicado nuevos apuntes de 1º Genética: EJERCICIO RESUELTOS DE GENÉTICA

Problema-46-Cobayas-Alelismo.pdf
PROBLEMA-58-Seleccion-y-alelo-letal.pdf
Problema-10-Genes-ligados-y-distancia-entre-genes.pdf
Problemas-60-y-68.pdf
Problema-61-Tay-Sachs-y-Judios-Ashkenazi.pdf
Problema-10-perros-labradores.pdf

He publicado nuevos ejercicios de 1º Genética: Problema-15-ligamentos-Isabel-Villalta.pdf

3 páginas

He publicado nuevos ejercicios de 1º Física: Ejercicos-dinamica-de-fluidos.pdf

8 páginas

He publicado nuevos trabajos de 1º Física: RESUMEN-MECANICA-DE-FLUIDOS.pdf

6 páginas

He publicado nuevos examenes de 1º Matemáticas: MATEMATICAS-TEST-ONLINE.pdf

5 páginas

He publicado nuevos examenes de 1º Estadística: Muestra-estadistica.pdf

15 páginas

He publicado nuevos apuntes de 1º Biología General: Esquemas-temas-biologia-1-cuatri.pdf

37 páginas

He publicado nuevos ejercicios de 1º Matemáticas: integral-Resuelta.pdf

pdf

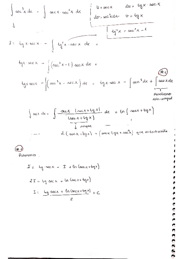
He publicado nuevos ejercicios de 1º Matemáticas: integral-secante-de-x-al-cubo-resuelta.pdf

pdf

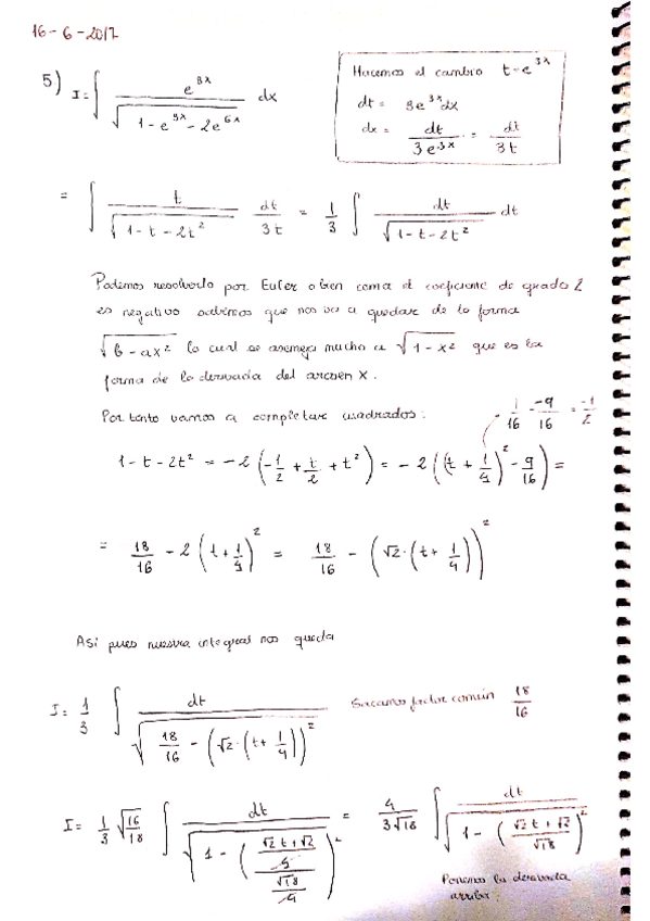
He publicado nuevos examenes de 1º Matemáticas: INTEGRALES-2017.pdf

pdf

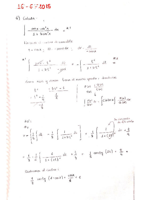
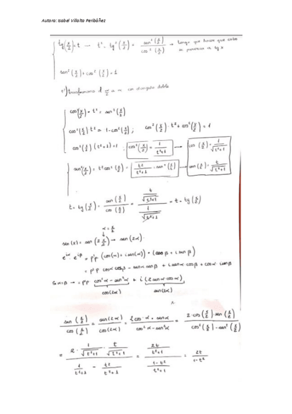
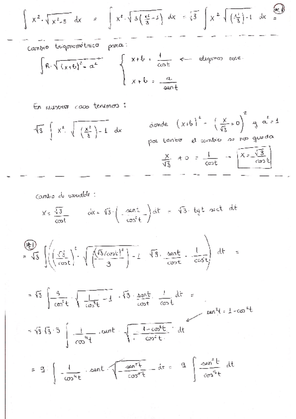
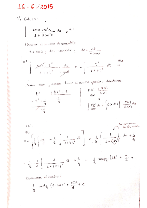
He publicado nuevos examenes de 1º Matemáticas: Examen-solucionado-mates16-6-2015.pdf

pdf