@itss_haselbalch

Estudios: Grado en Farmacia (UCM) ...Mostrar más

53 Publicaciones

962 Interacciones

4 Seguidores

0 Siguiendo

Lista de publicaciones de itss_haselbalch

recomiendo dibujar las diferentes situaciones, así lo entiendes fácil

2 páginas

He publicado nuevos examenes de 3º Microbiología: SEGUNDO-PARCIAL-2526-Raul-Jose-Manuel-y-Carmina.pdf

1 página

parte de desarrollo segundo parcial

1 página

apuntes

-

CLASIFICACIÓN FÁRMACOS SEGUNDO CUATRI

clasificación de todos los nombres de los fármacos que hemos dado

sistema-nervioso.pdf
hormonas.pdf
antiinfecciosos.pdf

He publicado nuevos examenes de 3º Tecnología Farmacéutica I: Examen-carlos-torrado-primer-cuatri.pdf

1 página

Alguien sabe si hay que saberse la tabla de taxonomía de bacterias y hongos para el examen de Jose Manuel, Raúl y Alba Blesa?

He publicado nuevos apuntes de 1º Química Orgánica I: Esquemas-Reactividad-todos-los-temas.pdf

8 páginas

AYUDAAAAAAA PORFA :) El año que viene tengo que repetir para, química orgánica II, inmuno y biomol. CUALES ME COJO DE TERCERO SOS!!!!!

He publicado nuevos apuntes de 2º Físico-Química Farmacéutica: FORMULARIORESUMEN-FQ-primer-cuatri.pdf

6 páginas

ejercicios

-

SEMINARIOS 24/25 NATI Y DANIEL ARCOS CON CORRECCIONES

He publicado nuevos ejercicios de 1º Química Inorgánica: SEMINARIOS 24/25 NATI Y DANIEL ARCOS CON CORRECCIONES

Semnario-8-Combinaciones-Oxigenadas.pdf
SEMINARIO-6-grupo-14-y-Boro.pdf
SEMINARIO-5-grupo-15.pdf
Seminario-4-grupo-16.pdf
SEMINARIO-7-HIDROGENO-Y-COMBINACIONES-HIDROGENADAS.pdf
Seminario-3-Grupo-18-y-17.pdf

apuntes

-

ENTREGAS ESPECTROSCOPÍA

He publicado nuevos apuntes de 1º Fisica Aplicada a la Farmàcia: ENTREGAS ESPECTROSCOPÍA

C1-ESPECTROSCOPIA.pdf
C2-ESPECTROSCOPIA.pdf

apuntes

-

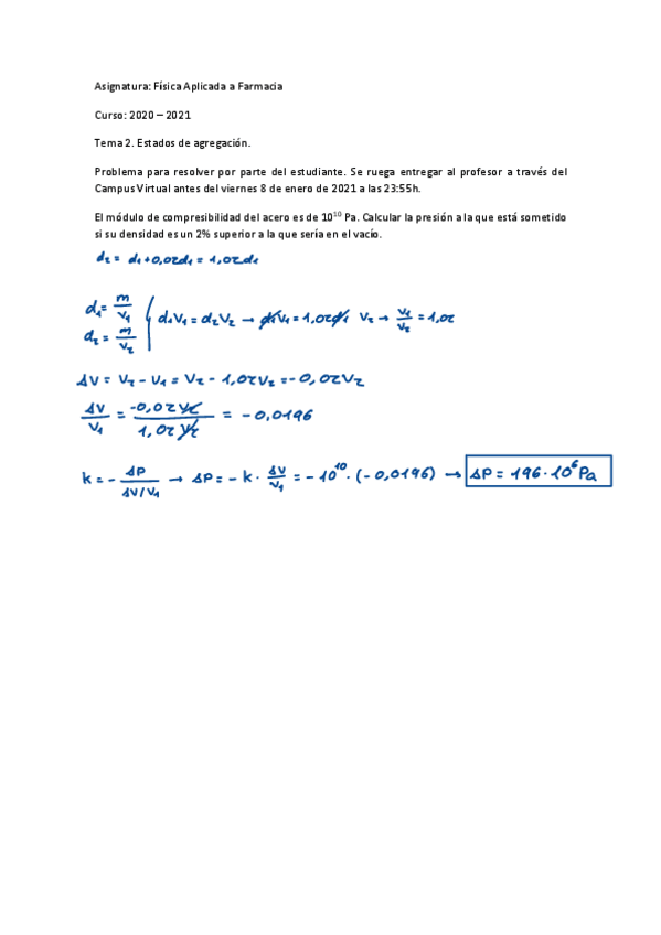
ENTREGAS ESTADOS DE AGREGACIÓN

He publicado nuevos apuntes de 1º Fisica Aplicada a la Farmàcia: ENTREGAS ESTADOS DE AGREGACIÓN

C1-ESTADOS-1.pdf
C2-ESTADOS.pdf
C3-ESTADOS.pdf

apuntes

-

ENTREGAS ONDAS

He publicado nuevos apuntes de 1º Fisica Aplicada a la Farmàcia: ENTREGAS ONDAS

C1-ONDAS-1.pdf
C2-ONDAS-1.pdf
C3-ONDAS.pdf
C4-ONDAS.pdf

apuntes

-

ENTREGAS TERMODINÁMICA

He publicado nuevos apuntes de 1º Fisica Aplicada a la Farmàcia: ENTREGAS TERMODINÁMICA

C1.pdf
C2.pdf
C3.pdf
C4.pdf
C5.pdf

He publicado nuevos apuntes de 1º Química General e Introducción Al Laboratorio Químico: RESUMEN-QUIMICA-NUCLEAR.pdf

1 página

ejercicios

-

SEMINARIOS VICTORIA CABAÑAS

He publicado nuevos ejercicios de 1º Química General e Introducción Al Laboratorio Químico: SEMINARIOS VICTORIA CABAÑAS

SEMINARIO-3-1.pdf
SEMINARIO-4-1.pdf
SEMINARIO-5.pdf
SEMINARIO-6.pdf
SEMINARIO-7.pdf

apuntes

-

SEMINARIOS VICTORIA CABAÑAS Y BLANCA GONZÑALEZ

He publicado nuevos apuntes de 1º Química Inorgánica: SEMINARIOS VICTORIA CABAÑAS Y BLANCA GONZÑALEZ

Seminario-1-1.pdf
Seminario-2-Combinaciones-Hidrogenadas.pdf
Seminario-3.pdf
Seminario-4.pdf
Seminario-5-Metales.pdf