@Iuri_Feliciano

7 Publicaciones

916 Interacciones

6 Seguidores

1 Siguiendo

Lista de publicaciones de Iuri_Feliciano

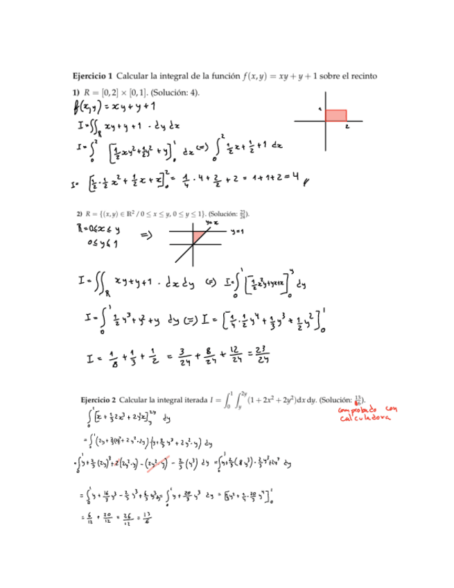
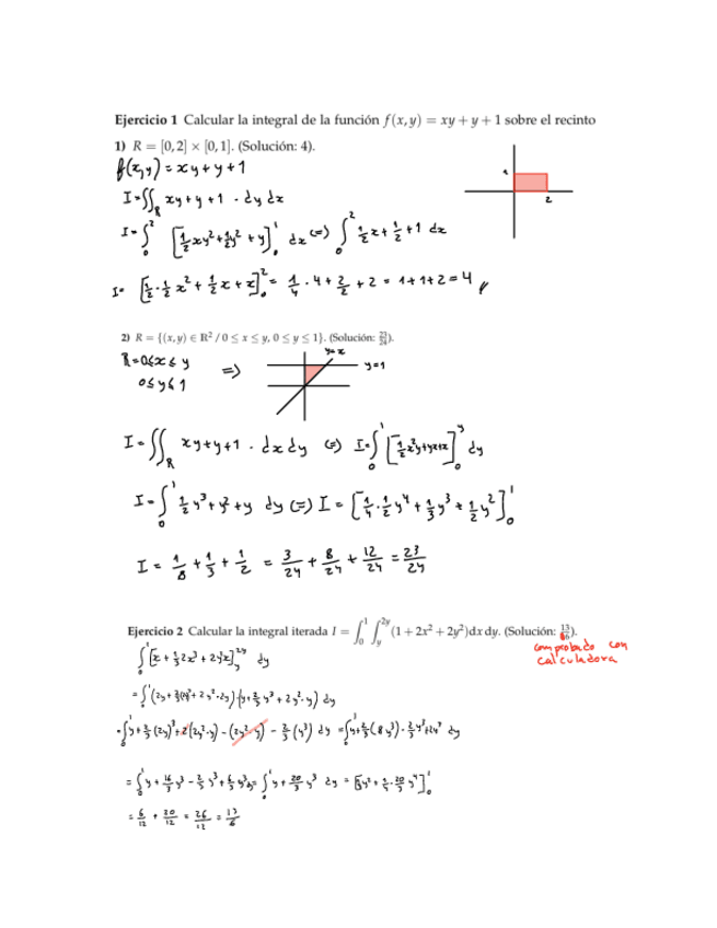
He publicado nuevos apuntes de 1º Cálculo: practica1resuelta.pdf

15 páginas

He publicado nuevos practicas de 1º Ampliación de Cálculo: Practica-4-AC-ISA-V1-Sage.pdf

17 páginas

He publicado nuevos practicas de 1º Ampliación de Cálculo: ACISAPractica-3-Sage.pdf

23 páginas

He publicado nuevos practicas de 1º Ampliación de Cálculo: P2-ACISA2020cuest1.pdf

23 páginas

He publicado nuevos apuntes de 1º Ampliación de Cálculo: AC-propuesta-de-resolucion-prat1-cuest10.pdf

15 páginas

He publicado nuevos apuntes de 1º Cálculo: EjerciciosT9.pdf

7 páginas

He publicado nuevos apuntes de 1º Cálculo: EjerciciosT7v4.pdf

30 páginas