@Ivan_Tubio_Sanles

36 Publicaciones

483 Interacciones

0 Seguidores

0 Siguiendo

Lista de publicaciones de Ivan_Tubio_Sanles

apuntes

-

Globalisation and society

Algunos apuntes deben ser completados con las diapositivas y es recomendable compararlos con otros

Magistral 1.pdf
Lecture 5.pdf
Magistral 8.pdf
Lecture 7.pdf
Magistral 11.pdf
Magistral 10.pdf

apuntes

-

Comparative Sociology

He publicado nuevos apuntes de 1º Sociología comparada: Comparative Sociology

Resumen Ken Newton: Trust and policies.pdf
1st chapter McMillan.pdf
Resumen unequality and social stratification.pdf
Resumen Transitional Justice and Historical Memory.pdf
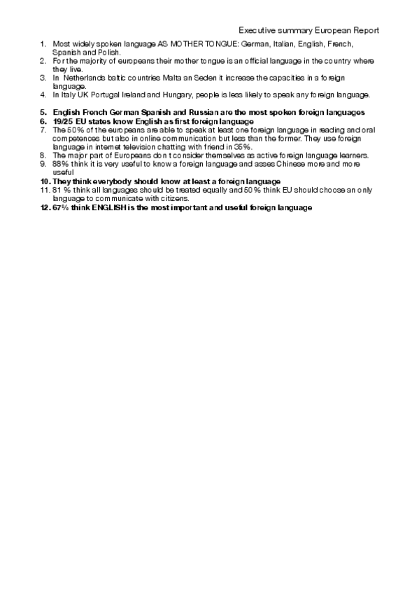
Resumen Executive European Report .pdf
Esperantists text.pdf

apuntes

-

Law Methodology and Culture

He publicado nuevos apuntes de 1º Metodología y cultura jurídica: Law Methodology and Culture

Civil and Common Law.pdf
Constitution: principles and concepts.pdf
European Union Law.pdf
Human Rights: handout.pdf
International Law Methodology.pdf

apuntes

-

Comparative Sociology

Algunos apuntes, sobre todo, resúmenes de textos NO están completos del todo

Apuntes 1º parcial TEMA 1 y 2 (libro+diapositivas).pdf
Resumen A tangled web by Gross (incompleto) .pdf
Esperantists text.pdf
Resumen Executive European Report .pdf
Resumen Transitional Justice and Historical Memory.pdf
Resumen unequality and social stratification.pdf

He publicado nuevos apuntes de 1º Metodología y cultura jurídica: Apuntes.docx

word