@Ivintado2

65 Publicaciones

2.85k Interacciones

2 Seguidores

0 Siguiendo

Lista de publicaciones de Ivintado2

examenes

-

Examen Junio 2020 Mecánica del Vuelo

Notas: 7'75-9'67-8'33

Cuestiones.pdf
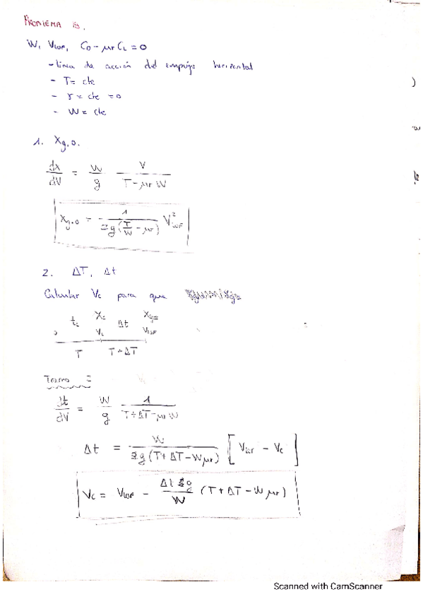
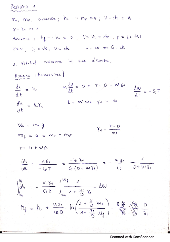
Problema1.pdf
Problema2.pdf

ejercicios

-

Problemas estabilidad 18-25

He publicado nuevos ejercicios de 3º Mecánica del Vuelo: Problemas estabilidad 18-25

ProblemasEstabilidad.pdf

He publicado nuevos apuntes de 3º Estructuras Aeronáuticas: Resumen-Estructuras.pdf

17 páginas

He publicado nuevos apuntes de 3º Elementos Estructurales Aeronáuticos: Resumen-Estructuras.pdf

17 páginas

He publicado nuevos apuntes de 3º Aerodinámica I: aero1.pdf

73 páginas

practicas

-

Practicas ASAN - Bloque 2

He publicado nuevos practicas de 3º Aviónica y Sistemas de Ayuda a la Navegación: Practicas ASAN - Bloque 2

p4.pdf
p7.pdf
p3.pdf
p2.pdf
p1.pdf
p6.pdf

practicas

-

Practicas Excel-Visual Basic

He publicado nuevos practicas de 3º Fundamentos de Propulsión: Practicas Excel-Visual Basic

MemoriaPracticasFPropulsion.pdf
Miniatura no disponible
Archivo Excel.zip

He publicado nuevos practicas de 2º Ingenieria de Fabricación: PRACTICA_5.pdf

9 páginas

He publicado nuevos practicas de 2º Ingenieria de Fabricación: PRACTICA_4.pdf

10 páginas

He publicado nuevos practicas de 2º Ingenieria de Fabricación: PRACTICA_3.pdf

7 páginas

He publicado nuevos ejercicios de 3º Estructuras Aeronáuticas: Ejercicios - Tema 2 - Estructuas Aeronáuticas.pdf

28 páginas

He publicado nuevos ejercicios de 3º Elementos Estructurales Aeronáuticos: Ejercicios - Tema 2 - Elementos Estructurales Aeronáuticos.pdf

28 páginas

He publicado nuevos practicas de 1º Apuntes Variados: Trabajo Blasius -- Sage.pdf

12 páginas

He publicado nuevos practicas de 2º Ingenieria de Fabricación: PRACTICA_1.pdf

8 páginas

He publicado nuevos practicas de 2º Ingenieria de Fabricación: PRACTICA_2.pdf

10 páginas

He publicado nuevos apuntes de 1º Física II: Tema 4.pdf

14 páginas

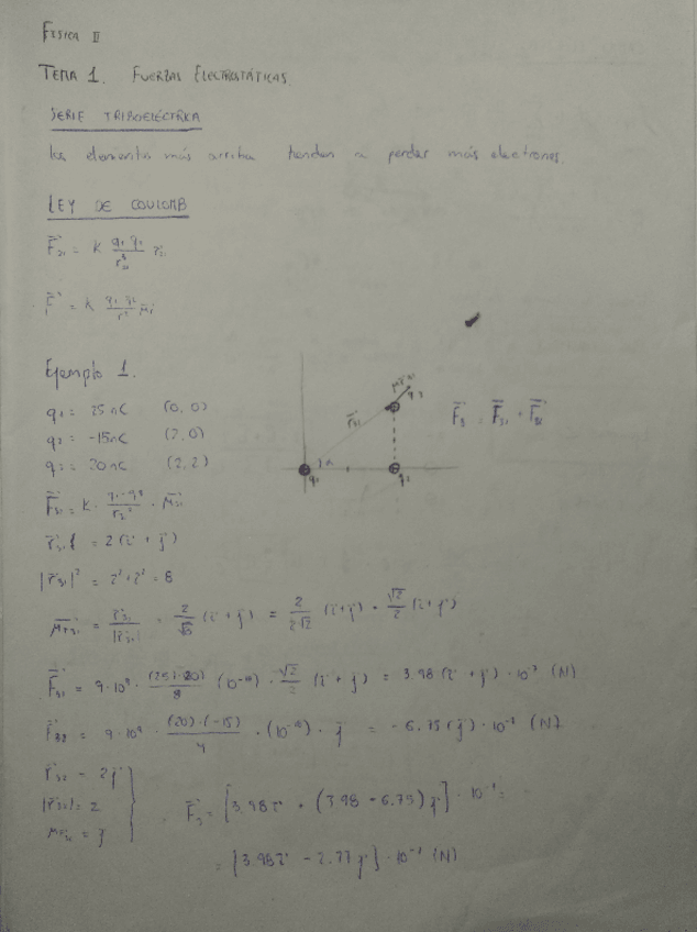
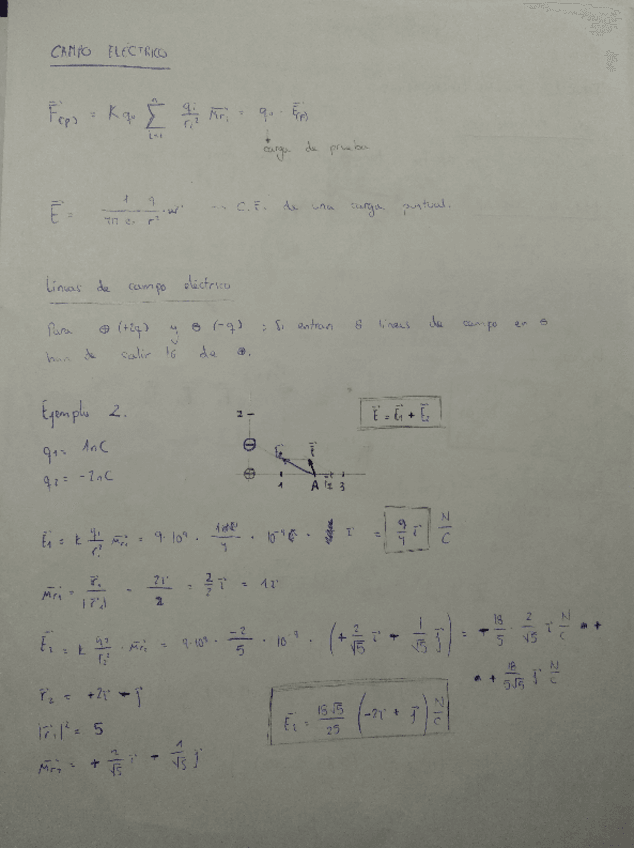
He publicado nuevos apuntes de 1º Física II: Tema 1-3.pdf

27 páginas

apuntes

-

Ayuda primer parcial

He publicado nuevos apuntes de 1º Apuntes Variados: Ayuda primer parcial

IMG_20180226_173419.jpg
IMG_20180226_173359.jpg

ejercicios

-

Ejercicios cortos diédrico

He publicado nuevos ejercicios de 1º Expresión Gráfica y Diseño Asistido: Ejercicios cortos diédrico

1.pdf
2.pdf
3.pdf
5.pdf
6.pdf
7.pdf

practicas

-

Todas las prácticas de laboratorio

He publicado nuevos practicas de 1º Física II: Todas las prácticas de laboratorio

Práctica 1.A. Medidas de la conductividad eléctrica de metales.pdf
Práctica 1.B. Caracterización de medios dieléctricos.pdf
Práctica 2A.pdf
Práctica 2B.pdf
Práctica 3. Carga y descarga de un condensador (1).pdf
Práctica 4 Oscilaciones.pdf