@Izaga

97 Publicaciones

1.33k Interacciones

1 Seguidores

0 Siguiendo

Lista de publicaciones de Izaga

ejercicios

-

Ejercicios

He publicado nuevos ejercicios de 1º Estructura de Computadores: Ejercicios

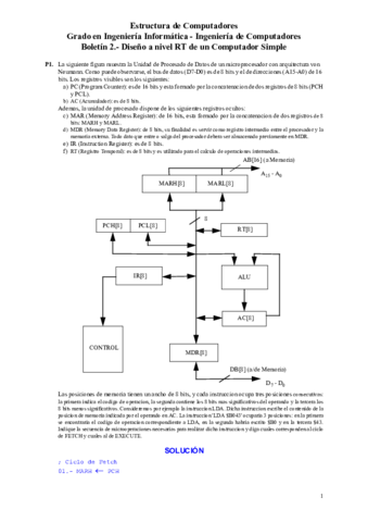
Boletin 2.pdf
Boletin 3-AVR.pdf
Boletin 4(Memorias).pdf
Boletin 1.pdf
Solucion boletin 3- AVR.pdf
Solucion boletin 2- CS2010.pdf

apuntes

-

Examenes

He publicado nuevos apuntes de 1º Álgebra Lineal y Numérica: Examenes

Examenes aln.pdf
Examen 1.pdf
Examen Junio.pdf
Examen 3.pdf
Examen 2.pdf
Primer Parcial.pdf

apuntes

-

Ejercicios

He publicado nuevos apuntes de 1º Administración de Empresas: Ejercicios

Resumen Tema 10.doc
control-problemas-tema9-resuelto.doc
Problemas tema 9 enunciado.doc
Formulario_Tema 10.doc
control-problemas-tema10-resuelto.doc
Miniatura no disponible
Tema 9_completo.ppt

ejercicios

-

Ejercicios

He publicado nuevos ejercicios de 2º Análisis y Diseño de Datos y Algoritmos: Ejercicios

ClaseProblemas1_texto.pdf
ClaseProblemas1_transp.pdf
Intensivo Parcial 1 ALUMNO.pdf
Problemas grafos simples 2015-16 Alumnos.pdf

ejercicios

-

Todo Ejercicios

He publicado nuevos ejercicios de 1º Circuitos Electrónicos Digitales: Todo Ejercicios

problema-1-d-magnitud-6.docx
problema-1-h-obtener-mapa.docx
problema-1-g-conjuntos-minterminos-maxterminos.docx
problema-1-b-magnitud-representada.docx
problema-1-a-bits-necesarios.docx
problema-1-e-digitos-gray.docx

examenes

-

Examen Primer parcial

He publicado nuevos examenes de 1º Estructura de Computadores: Examen Primer parcial

2013.06.04 EdC IS C2.pdf
2013.06.04 EdC IS C2.sol.pdf

ejercicios

-

Ejercicios Resueltos de todos los temas

He publicado nuevos ejercicios de 1º Estadística: Ejercicios Resueltos de todos los temas

Tema-1gradoPrResuelto.pdf
Tema-7gradoRes.pdf
Tema-2gradoPrResuelto.pdf
Tema-3gradoPrResuelto.pdf
tema 5 en un ejercicio.pdf
Tema-6grado PrResuelto.pdf

ejercicios

-

Ejercicios Resueltos de todos los temas

He publicado nuevos ejercicios de 1º Estadística: Ejercicios Resueltos de todos los temas

Tema-1gradoPrResuelto.pdf
Tema-7gradoRes.pdf
Tema-2gradoPrResuelto.pdf
Tema-3gradoPrResuelto.pdf
tema 5 en un ejercicio.pdf
Tema-6grado PrResuelto.pdf

ejercicios

-

Ejercicios PGPI

He publicado nuevos ejercicios de 4º Planificación y Gestión de Proyectos Informáticos: Ejercicios PGPI

Tema 3 - Ejemplo 2.pdf
Cuestiones Tema 1.pdf
COSTE-SOLución.pdf
problema alcance del proyecto.pdf
Cuestiones Tema 3.pdf
Tema 3 - Ejemplo 1.pdf

examenes

-

PGPI

He publicado nuevos examenes de 4º Planificación y Gestión de Proyectos Informáticos: PGPI

COSTE parcial 2-SOL.pdf
Primer Parical PGPI Tabla.pdf
Pert parcial 2.pdf
Primer Parcial PGPI Test.pdf
Ejericio pert1.pdf

apuntes

-

Temario

He publicado nuevos apuntes de 4º Aplicaciones de Soft Computing: Temario

Tema0b.pdf
Tema3_RBF.pdf
Tema2_AdalineBasico.pdf
Teoria_Sistemas_NeuroFuzzy.pdf
Tema1.pdf
Tema5-LogicaFuzzy.pdf