@jalandr0

23 Publicaciones

582 Interacciones

1 Seguidores

0 Siguiendo

Lista de publicaciones de jalandr0

El código que tengo subido de Simulación de Sistemas Dinámicos suele entrar en los exámenes con alguna variación, los enunciados estarán subidos en Aula Global (grupo 24) :)

He publicado nuevos examenes de 1º Cálculo II: Segundo-Parcial-2023-SOLUCION.pdf

3 páginas

He publicado nuevos ejercicios de 1º Cálculo II: Derivadas-y-diferenciabilidad.pdf

4 páginas

He publicado nuevos ejercicios de 1º Cálculo II: Limites-y-continuidad.pdf

9 páginas

falta el 3, es resolver un sistema

4 páginas

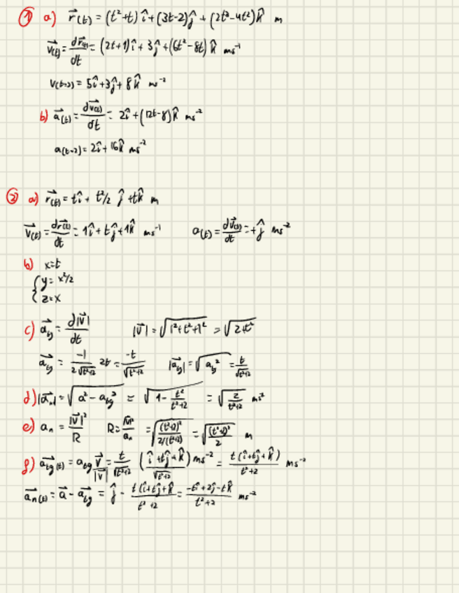
He publicado nuevos ejercicios de 1º Física I: EJERCICIOS-TEMA-7.pdf

4 páginas

No me hago responsable de que haya respuestas incorrectas ni del uso de este documento.

1 página

He publicado nuevos examenes de 2º Simulación de Sistemas Dinámicos: EXAMEN-2019-SOLUCION.pdf

3 páginas

He publicado nuevos examenes de 2º Simulación de Sistemas Dinámicos: SEGUNDO-PARCIAL-2022-2023.pdf

1 página

He publicado nuevos ejercicios de 2º Simulación de Sistemas Dinámicos: ejerciciostema3.pdf

1 página

He publicado nuevos apuntes de 1º Física I: EJERCICIOS-TEMA-3.pdf

5 páginas

He publicado nuevos apuntes de 1º Física I: EJERCICIOS-TEMA-1.pdf

5 páginas

He publicado nuevos examenes de 2º Mecánica de Máquinas: SolucionExtraordinariaJunio2017.pdf

3 páginas