@JaumeR

Estudios: Grado en Física (UB) ...Mostrar más

36 Publicaciones

138 Interacciones

0 Seguidores

0 Siguiendo

Lista de publicaciones de JaumeR

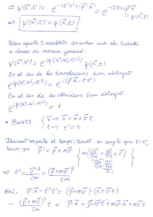
Exercici 4 Joan Gordon

3 páginas

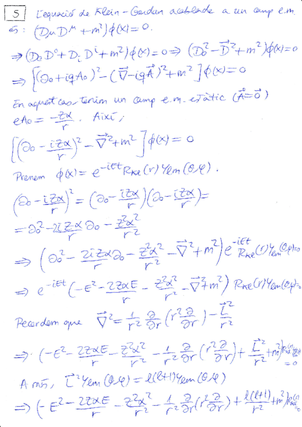
Exercici 1 resolt Klein Gordon

3 páginas

Exercici 5 resolt Klein Gordon

4 páginas

Exercici 3 resolt Klein Gordon

1 página

Exercici 2 resolt Klein Gordon

2 páginas

Enunciats exercicis Klein Gordon

1 página

solució entrega 2 continuada

5 páginas

He publicado nuevos trabajos de 4º Apuntes Variados: entrega2-enunciat.pdf

1 página

enunciat entrega 1 continuada

1 página

entrega 1 continuada resolt nota 10

4 páginas

Nota 10/10

12 páginas

He publicado nuevos ejercicios de 2º Métodos Matemáticos para la Física i: SolVC218.pdf

5 páginas

He publicado nuevos ejercicios de 2º Métodos Matemáticos para la Física i: solFullVC118.pdf

4 páginas

He publicado nuevos ejercicios de 2º Métodos Matemáticos para la Física i: FullVC218.pdf

2 páginas

He publicado nuevos ejercicios de 2º Métodos Matemáticos para la Física i: FullVC118.pdf

1 página

He publicado nuevos apuntes de 2º Astronomía: ManualAlumnes2017.pdf

19 páginas

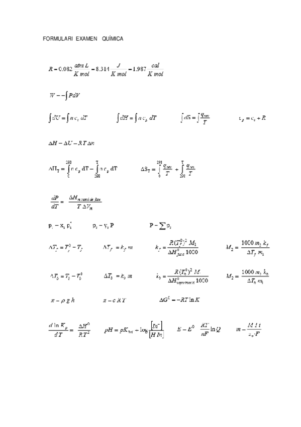
He publicado nuevos otros de 1º Química: FORMULARI-EXAMEN-FINAL-QUIMICA.pdf

1 página

Enunciat parcial 2 2015

2 páginas

Parcial 2 2018 solucions

1 página

Parcial 2 2014 solucions

1 página