@Javi_066

Estudios: Bachillerato ...Mostrar más

Bio: Estudiante de Bachillerato dedicado compartir conocimiento. Subo apuntes claros, organizados y útiles, además de exámenes de prueba para que puedas prepararte mejor. ¡Espero que te sean de ayuda para alcanzar tus metas académicas!

52 Publicaciones

126 Interacciones

1 Seguidores

0 Siguiendo

Lista de publicaciones de Javi_066

ejercicios

-

EJERCICIOS DE DINÁMICA, TRABAJO Y ENERGÍA

He publicado nuevos ejercicios de 1º Física y Química: EJERCICIOS DE DINÁMICA, TRABAJO Y ENERGÍA

EJERCICIOS-DE-DINAMICA-TRABAJO-Y-ENERGIA-1.pdf
EJERCICIOS-DE-DINAMICA-TRABAJO-Y-ENERGIA-2.pdf
EJERCICIOS-DE-DINAMICA-TRABAJO-Y-ENERGIA-3.pdf
EJERCICIOS-DE-DINAMICA-TRABAJO-Y-ENERGIA-4.pdf
EJERCICIOS-DE-DINAMICA-TRABAJO-Y-ENERGIA-5.pdf
EJERCICIOS-DE-DINAMICA-TRABAJO-Y-ENERGIA-6.pdf

ejercicios

-

FICHAS CON EJERCICIOS RESUELTOS DE NÚMEROS COMPLEJOS

Practica números complejos

COMPLEJOS-1.pdf
COMPLEJOS-2.pdf
COMPLEJOS-3.pdf
COMPLEJOS-4.pdf
COMPLEJOS-5.pdf
COMPLEJOS-6.pdf

Ejercicios para practicar calor y temperatura

2 páginas

He publicado nuevos apuntes de 1º Matemáticas I: FICHA-IDENTIDADES-TRIGONOMETRICAS.pdf

7 páginas

Ejercicios para practicar resolución de triángulos

1 página

Ejercicios para practicar sistemas de ecuaciones

2 páginas

Ejercicios para practicar teorema del resto y del factor

2 páginas

Ejercicios para practicar sistemas de ecuaciones

2 páginas

Ejercicios para practicar sistemas de ecuaciones

1 página

Ejercicios para practicar inecuaciones

1 página

Ejercicios para practicar inecuaciones

2 páginas

Ejercicios para practicar radicales

3 páginas

Ejercicios para practicar intervalos

2 páginas

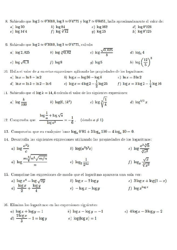
Ejercicios para practicar logaritmos

3 páginas

Ejercicios para practicar logaritmos

1 página

Ejercicios sobre TABLAS DE VERDAD de Filosofía

1 página

Ejercicios sobre TABLAS DE VERDAD de Filosofía

1 página

Apuntes TABLAS DE VERDAD de Filosofía

4 páginas

Apuntes de Filosofía sobre lógica

2 páginas

Ejercicios para practicar

1 página