Lista de publicaciones de Jdiazz10

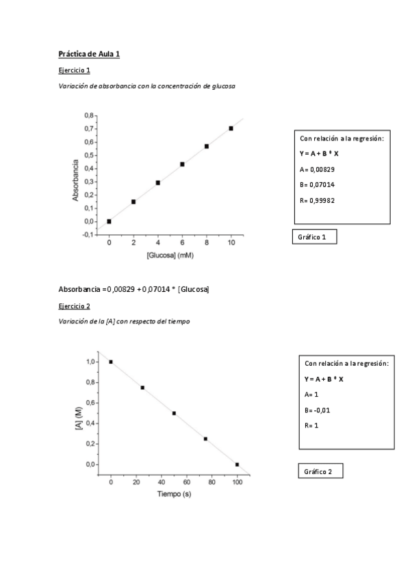
He publicado nuevos trabajos de 1º Química Física: Practica-de-Aula-1-y-2.pdf

8 páginas

He publicado nuevos trabajos de 1º Organografia: Imagenes-de-histologia-y-organografia-vegetal.pdf

4 páginas

He publicado nuevos practicas de 1º Fundamentos de Genética: Informe-de-practicas-FG-20-21-Juan-Calros-Linan-Diaz.pdf

2 páginas

He publicado nuevos trabajos de 1º Fundamentos de Bioquímica: Poster-Biologia-Molecular.pptx

Miniatura no disponible
powerpoint

He publicado nuevos apuntes de 1º Estadística Aplicada a la Bioquímica: CASOS-PRACTICOS-A-EVALUAR-ESTADISTICA-DESCRIPTIVA-JUAN-CARLOS-LINAN-DIAZ.pdf

6 páginas

He publicado nuevos practicas de 1º Biología Celular: MEMORIAS-DE-LA-PRACTICA-DE-MICROSCOPIA-OPTICA-DE-BIOLOGIA-CELULAR.docx

word

He publicado nuevos practicas de 1º Física: Informe-de-practicas-Calculo-del-error-de-la-viscosidad.jpg

Imagen

He publicado nuevos apuntes de 1º Química: INFORME-PRACTICA-1.pdf

4 páginas

He publicado nuevos apuntes de 1º Química: Formulario-Loreto.pdf

6 páginas

He publicado nuevos trabajos de 1º Fundamentos de Bioquímica: Tarea1.docx

word