@JDN_jdn

33 Publicaciones

129 Interacciones

1 Seguidores

1 Siguiendo

Lista de publicaciones de JDN_jdn

He publicado nuevos trabajos de 2º MOTORES Y MÁQUINAS FORESTALES: Ficha-arbol-monumentalJDN.pdf

2 páginas

He publicado nuevos practicas de 2º MOTORES Y MÁQUINAS FORESTALES: Muestra-de-madera.pdf

1 página

He publicado nuevos trabajos de 2º Dasometría: Dendroflexometroplano-y-fotos.pdf

1 página

He publicado nuevos practicas de 2º MOTORES Y MÁQUINAS FORESTALES: Tarea-4.pdf

1 página

He publicado nuevos practicas de 2º MOTORES Y MÁQUINAS FORESTALES: Tarea-3.pdf

2 páginas

He publicado nuevos trabajos de 2º MOTORES Y MÁQUINAS FORESTALES: Tarea-2.pdf

2 páginas

He publicado nuevos trabajos de 2º MOTORES Y MÁQUINAS FORESTALES: Tarea-1.pdf

1 página

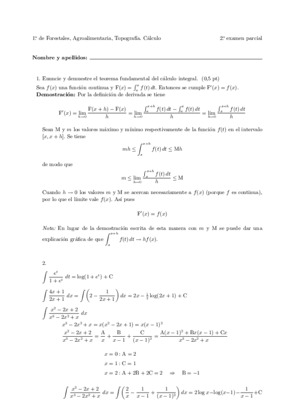
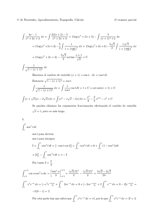
He publicado nuevos examenes de 1º Cálculo: Examen-2-solucion.pdf

5 páginas

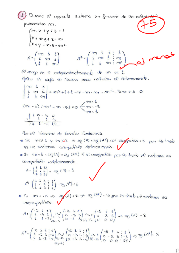
He publicado nuevos examenes de 1º Cálculo: Examen-1-solucion.pdf

3 páginas

He publicado nuevos trabajos de 1º Álgebra: Trabajo1Algebrajdn.pdf

8 páginas

He publicado nuevos apuntes de 1º Álgebra: AlgebraResjdn.pdf

70 páginas

He publicado nuevos apuntes de 1º Cálculo: CalculoResjdn.pdf

56 páginas

He publicado nuevos ejercicios de 1º Cálculo: Hoja-de-Problemaspdf-notes201411251145.pdf

9 páginas