@JEJEJEE

47 Publicaciones

505 Interacciones

0 Seguidores

0 Siguiendo

Lista de publicaciones de JEJEJEE

He publicado nuevos examenes de 2º Redes de Computadores: VID-20190615-WA0026.mp4

video

He publicado nuevos apuntes de 2º Bases de Datos: Seguridad.pdf

1 página

examenes

-

Recopilacion examenes RESUELTOS

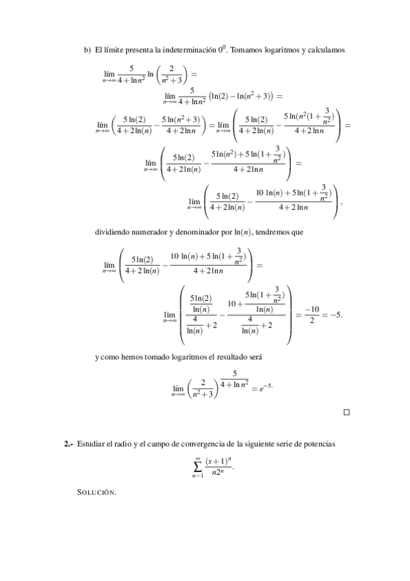
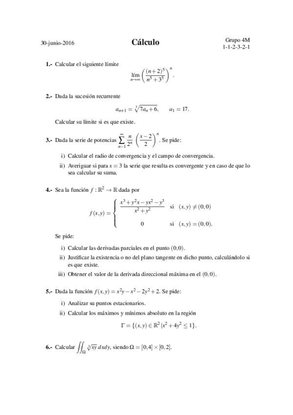
He publicado nuevos examenes de 1º Cálculo: Recopilacion examenes RESUELTOS

Segundo-parcial-2011
Final-de-julio-2016.pdf
parcial-final-2016.pdf
parcial-final-2012.pdf

He publicado nuevos examenes de 1º Cálculo: Examen-Parcial-2018-S.pdf

7 páginas

He publicado nuevos examenes de 1º Cálculo: final-julio-2018-s.pdf

6 páginas

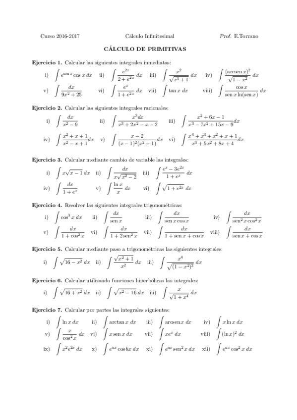
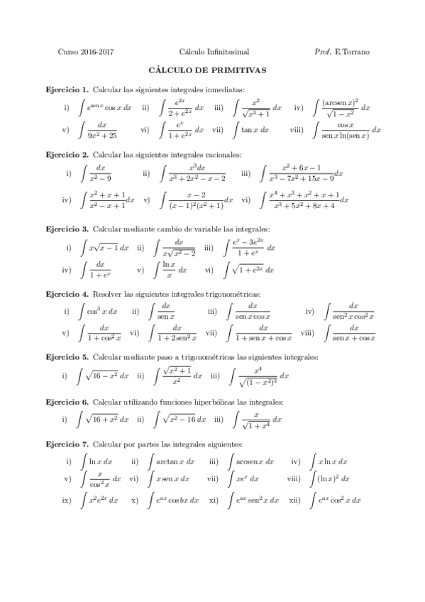
He publicado nuevos ejercicios de 1º Cálculo: metodos-de-integracion.pdf

67 páginas

He publicado nuevos examenes de 1º Cálculo: final-junio-2018-SOLUCIONES.pdf

12 páginas

ejercicios

-

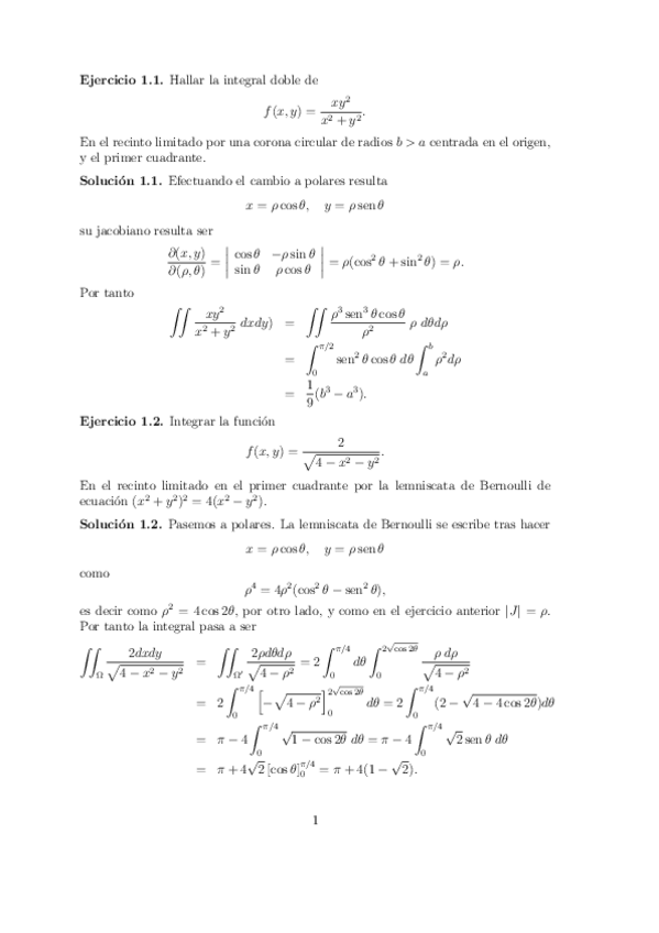
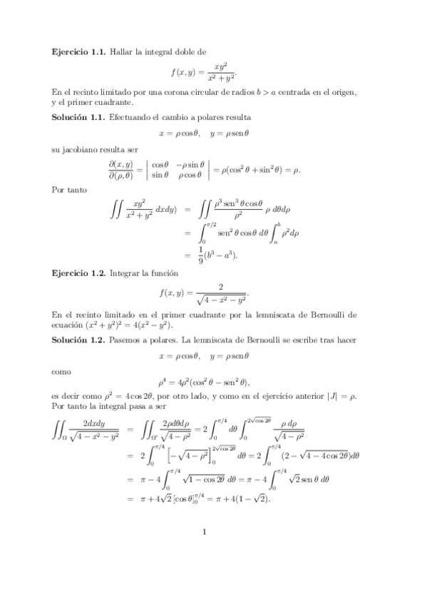
EjercicIos Integracion Doble RESUELTOS

He publicado nuevos ejercicios de 1º Cálculo: EjercicIos Integracion Doble RESUELTOS

metodos-de-integracion.pdf
Integracion-doble.pdf
integraciondoble2.pdf
integraciondoble2S.pdf

apuntes

-

IMPRESCINDIBLE Integración

He publicado nuevos apuntes de 1º Cálculo: IMPRESCINDIBLE Integración

MetodosInt.pdf
integracion.pdf
IntegracionDoble.pdf

ejercicios

-

Ejercicios Integrales RESUELTOS

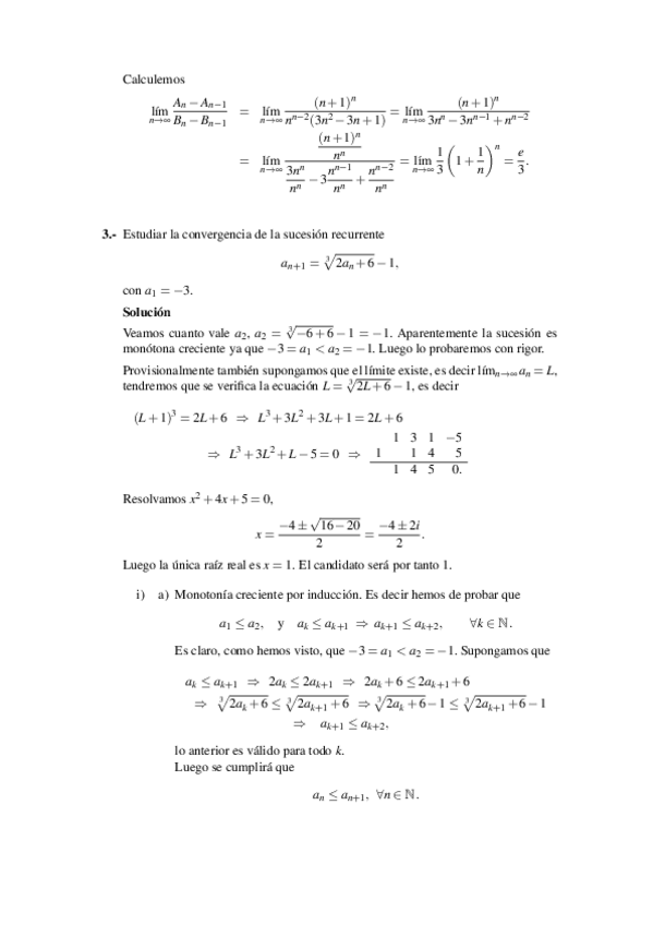
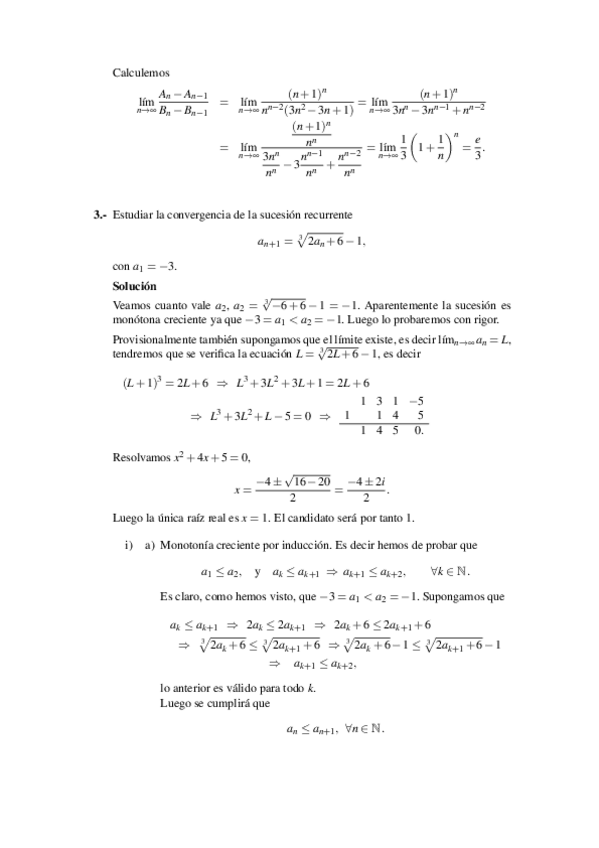
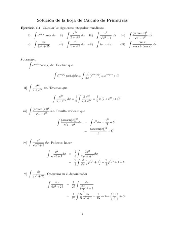
He publicado nuevos ejercicios de 1º Cálculo: Ejercicios Integrales RESUELTOS

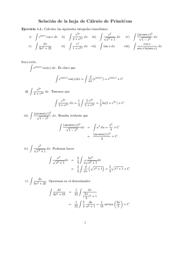
hojaprimitivas.pdf
Primitivas.pdf

He publicado nuevos apuntes de 1º Cálculo: algoritmo-trivial.pdf

1 página

ejercicios

-

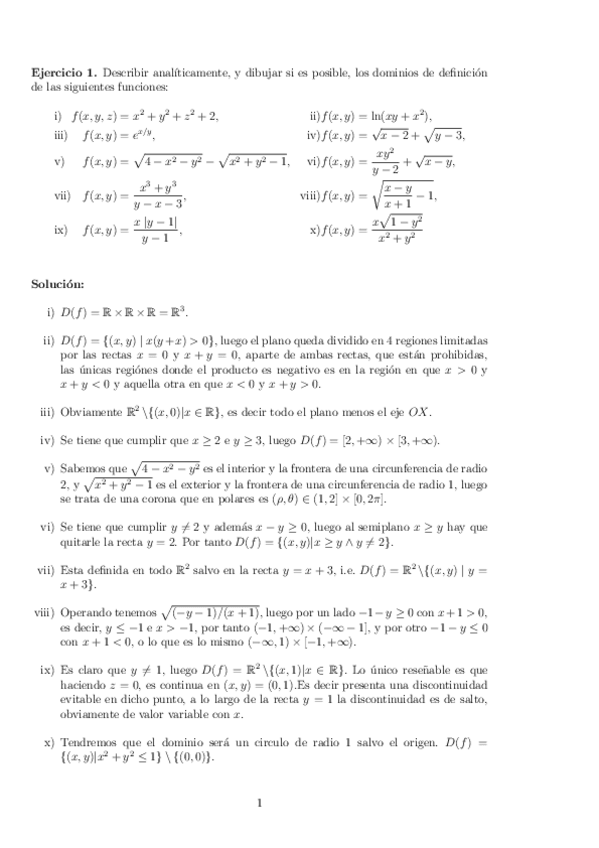
Ejercicios Varias Variables RESUELTOS

He publicado nuevos ejercicios de 1º Cálculo: Ejercicios Varias Variables RESUELTOS

optimizacion.pdf
newVarias1.pdf
newVarias1Solucion.pdf
newVarias2.pdf

apuntes

-

Lo Imprescindible de Varias Variables

He publicado nuevos apuntes de 1º Cálculo: Lo Imprescindible de Varias Variables

Fundamentosteoricosdeltemadevariasvariables.pdf
simplificando.pdf
algoritmo-trivial.pdf
optimizacion.pdf
Maximosyminimosdevariasvariables.pdf

He publicado nuevos examenes de 1º Cálculo: Examen-Parcial-2018-S.pdf

7 páginas

examenes

-

Examenes 1 Parcial RESUELTOS

He publicado nuevos examenes de 1º Cálculo: Examenes 1 Parcial RESUELTOS

parcial1.pdf
parcial2014.pdf

ejercicios

-

Ejercicios Series RESUELTOS

He publicado nuevos ejercicios de 1º Cálculo: Ejercicios Series RESUELTOS

Taylor.pdf
SeriesSolucion.pdf
SeriesdePotenciasSolucion.pdf
Series.pdf
SeriesdePotencias.pdf

apuntes

-

Todo lo que tienes que saber de Series

He publicado nuevos apuntes de 1º Cálculo: Todo lo que tienes que saber de Series

tablaseries.pdf
FundamentosteoricosparaeltemadeSeriesnumericas.pdf
DesarrollodeTaylorySeriesdePotencias.pdf