@Jesus_93

138 Publicaciones

2.89k Interacciones

0 Seguidores

0 Siguiendo

Lista de publicaciones de Jesus_93

He publicado nuevos apuntes de 1º Química General: probl equilibrio-GITI.pdf

8 páginas

apuntes

-

Examanes Resueltos de 2011 y 2012

He publicado nuevos apuntes de 1º Química General: Examanes Resueltos de 2011 y 2012

Examen Junio 2011 QG.pdf
Examen junio 2012.pdf
Examen Septiembre 2011 QG.pdf

He publicado nuevos apuntes de 1º Química General: formulacion.pdf

21 páginas

practicas

-

Practicas 1resuelta

He publicado nuevos practicas de 3º Máquinas y Motores Térmicos: Practicas 1resuelta

P1.1.jpg
P1.2.jpg
P1.3 NO SE VE ENTERO.jpg
P1.3 SE VE LO DE ABAJO.jpg

practicas

-

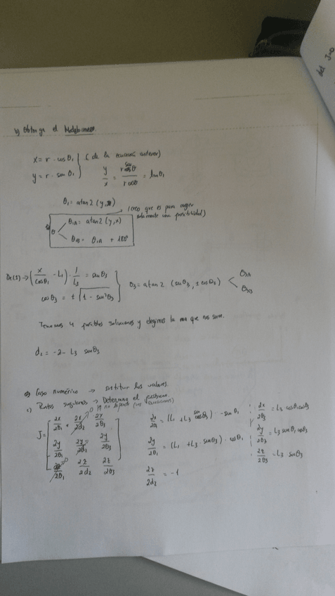
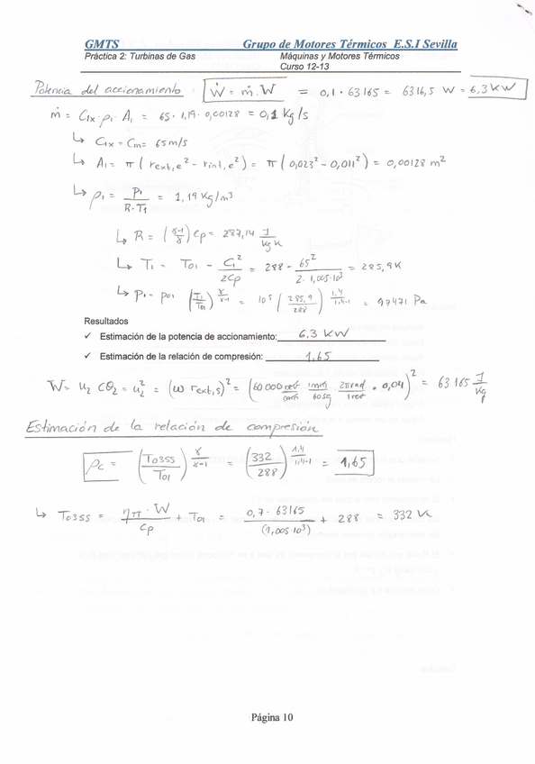
Practica 2 Resuelta

He publicado nuevos practicas de 3º Máquinas y Motores Térmicos: Practica 2 Resuelta

1.jpg
2.jpg
3.jpg
4.jpg
5.jpg
6.jpg

apuntes

-

Problema Resuelto

problema tipico de examen

1.jpg
2.jpg
3.jpg

practicas

-

Practica 3 Resuelta

He publicado nuevos practicas de 3º Máquinas y Motores Térmicos: Practica 3 Resuelta

p3.1.jpg
p3.2.jpg
p3.3.jpg
CURVAS TEORICAS.jpg

apuntes

-

Resumenes de Teoria de Todos los Temas

He publicado nuevos apuntes de 4º Proyectos: Resumenes de Teoria de Todos los Temas

Proyectos_T1_Introducci+¦n.pdf
Proyectos_T2_Criterios generales para la elaboraci+¦n de proyectos.pdf
Proyectos_T3_Fundamentos de direcci+¦n de proyectos.pdf
Proyectos_T4_Estudiosprevios.pdf
Proyectos_T5_Definici+¦n del alcance del proyecto.pdf
Proyectos_T6_Planificaci+¦n y programaci+¦n del proyecto.pdf

Suelen repetir siempre estas preguntas

17 páginas

apuntes

-

Examenes 2013

He publicado nuevos apuntes de 3º Ingeniería de Control: Examenes 2013

IC_Junio_2013.pdf
IC_MiniParcial_2013.pdf
IC_Septiembre_2013.pdf

He publicado nuevos apuntes de 4º Proyectos: PREGUNTAS DE TEORIA DE PROYECTOS RESUELTAS.pdf

7 páginas

He publicado nuevos apuntes de 1º Distribución de Energía Eléctrica: Examenes anteriores.rar

rar

He publicado nuevos apuntes de 3º Ingeniería de Control: CuestionesResueltas_MiniParcial_24_Abril_2014.pdf

5 páginas

apuntes

-

Examanes Resueltos 2012

He publicado nuevos apuntes de 2º Ampliación de Matemáticas: Examanes Resueltos 2012

diciembre 2012 convocatoria.pdf
diciembre 2012.pdf
enero 2012.pdf

apuntes

-

Examanes de Convocatoria Resueltos 2013

He publicado nuevos apuntes de 2º Ampliación de Física: Examanes de Convocatoria Resueltos 2013

analit-S3-090713.pdf
Primera convocatoria 2012-2013 ( Primer parcial) solucion detallada.pdf
Primera convocatoria 2012-2013 ( Primer parcial).pdf
Primera convocatoria 2012-2013 ( Segundo parcial) solucion detallada.pdf
Primera convocatoria 2012-2013 ( Segundo parcial).pdf
Primera convocatoria 2012-2013 ( Tercer parcial).pdf

apuntes

-

Problemas Resueltos

He publicado nuevos apuntes de 1º Estadística e Investigación Operativa: Problemas Resueltos

Coleccion_adicional_Diciembre2012.pdf
ProblemasAdicionales 2011.pdf
ProblemasAdicionales 2012.pdf

apuntes

-

Examanes Resueltos 2012

He publicado nuevos apuntes de 2º Elasticidad y Resistencia de Materiales: Examanes Resueltos 2012

Cuest_enero_2012.pdf
Cuest_Sept_2012.pdf
PROBenero121.pdf
PROBsept121.pdf
Sol_Test_sep_12.pdf
Test_enero121.pdf