@Jesusp95

Bio: Development team lead For Openbank

130 Publicaciones

5.92k Interacciones

2 Seguidores

0 Siguiendo

Lista de publicaciones de Jesusp95

ejercicios

-

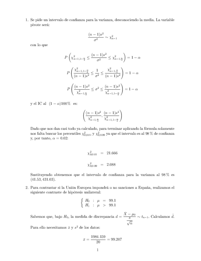
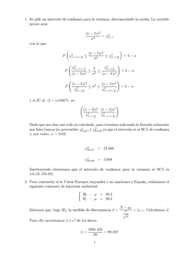
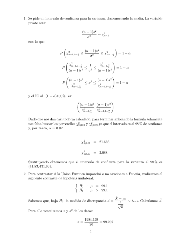
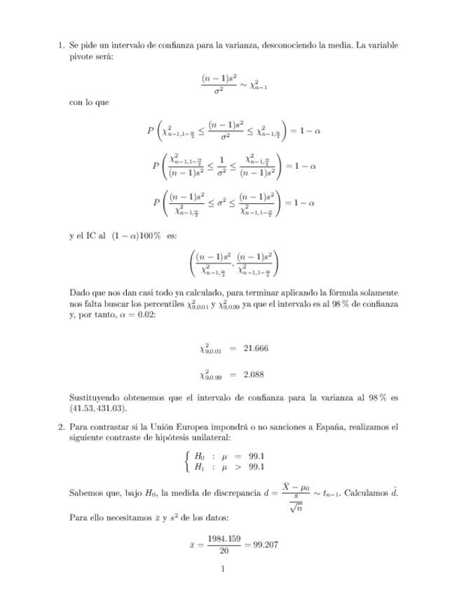
Ejercicios tema 12 y solución

He publicado nuevos ejercicios de 1º Probabilidad y Estadística I: Ejercicios tema 12 y solución

ejerciciostema12.pdf
ejerciciostema12_2.pdf
solu_ejerciciostema12.pdf
solu_adicionalestema12.pdf

ejercicios

-

Ejercicios tema 1 y solucion

He publicado nuevos ejercicios de 1º Probabilidad y Estadística I: Ejercicios tema 1 y solucion

EjerciciosTema1.pdf
Solucion-Tema1.pdf

examenes

-

Pack de Examenes 2

He publicado nuevos examenes de 1º Probabilidad y Estadística I: Pack de Examenes 2

Soluniones_ud1.pdf
Soluniones_ud2y3.pdf
Soluniones_ud4y5.pdf

examenes

-

Pack de Examenes 1

He publicado nuevos examenes de 1º Probabilidad y Estadística I: Pack de Examenes 1

13noviembre_ud2y3.pdf
14abril_ud2y3.pdf
Enunciado_ud1.pdf
Enunciado_ud2y3.pdf
Enunciado_ud4y5.pdf
Solufinal_11junio12.pdf

ejercicios

-

Ejercicios tema 2 y solucion

He publicado nuevos ejercicios de 1º Probabilidad y Estadística I: Ejercicios tema 2 y solucion

EjerciciosTema2C.pdf
Solución-Tema2.pdf

He publicado nuevos examenes de 1º Probabilidad y Estadística I: Examen UD 1 2013.pdf

4 páginas

ejercicios

-

Ejercicios tema 11 y solucion

He publicado nuevos ejercicios de 1º Probabilidad y Estadística I: Ejercicios tema 11 y solucion

ejerciciostema11.pdf
ejerciciostema11_2.pdf
solu_ejerciciostema11.pdf
solu_ejerciciostema11_2.pdf

examenes

-

Pack de examenes 2

He publicado nuevos examenes de 3º Seguridad de las Tecnologías de la Información: Pack de examenes 2

Examen (20Dic2010).pdf
Examen (21Dic2012).pdf
Examen (23Feb2012).pdf
Examen (26Mayo2011).pdf
Examen STI (7Jun2012).pdf
Examen STI (10Jun2013).pdf

examenes

-

Pack de examenes

He publicado nuevos examenes de 3º Seguridad de las Tecnologías de la Información: Pack de examenes

2ndo_examen_20130524_qas.pdf
examen_2010_11_29.pdf
examen_2011_05_10.pdf
examen_2011_12_02.pdf
examen_20121203_bloque3.pdf
examen_oct2014_qas_v00.pdf

He publicado nuevos apuntes de 4º GESTION DE PROCESOS DE TECNOLOGIAS DE LA INFORMACION: GPTI_SIX_SIGMA_RESUMEN_TODO.pdf

21 páginas

He publicado nuevos apuntes de 3º Sistemas Distribuidos: teoria.pdf

35 páginas

examenes

-

Examenes

He publicado nuevos examenes de 3º Sistemas Orientados a Servicios: Examenes

Examen SOS enero 2012.pdf
Examen SOS enero 2014_Con Solución.pdf
Examen SOS julio 2012_con_solucion.pdf
Examen SOS junio 2011.pdf
Examen SOS junio 2012_SOLUCIONES.pdf
Examen SOS junio 2013_Solución.pdf

examenes

-

Examenes SSDD

He publicado nuevos examenes de 3º Sistemas Distribuidos: Examenes SSDD

Exámenes de Sistemas Distribuidos-p1.pdf
Exámenes de Sistemas Distribuidos-p2.1.pdf
Exámenes de Sistemas Distribuidos-p2.2.pdf
Exámenes de Sistemas Distribuidos-p2.3.pdf
SD-jul16-parte1.pdf
SD-jul16-parte2.pdf

He publicado nuevos apuntes de 3º Ingeniria de Software i: teoria.pdf

10 páginas

He publicado nuevos apuntes de 3º Sistemas Distribuidos: teoria.pdf

14 páginas

apuntes

-

Restful

He publicado nuevos apuntes de 3º Sistemas Orientados a Servicios: Restful

SERVICIOS RESTFul.pdf
02_03_SOS_RESTful Web Services.pdf