@Jimenez04

23 Publicaciones

420 Interacciones

2 Seguidores

0 Siguiendo

Lista de publicaciones de Jimenez04

ejercicios

-

Ejercicios cálculo I (extra)

He publicado nuevos ejercicios de 1º Matemáticas I: Ejercicios cálculo I (extra)

Hoja-9.pdf
Hoja-10.pdf
Hoja-11.pdf
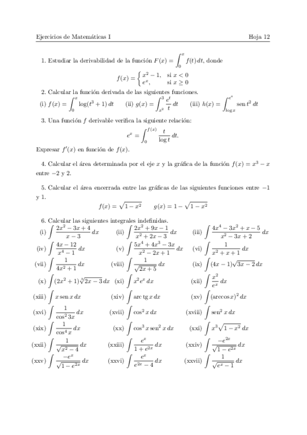
Hoja-12.pdf

examenes

-

Exámenes

He publicado nuevos examenes de 1º Matemáticas II: Exámenes

Control-febrero-2019.pdf
Control-junio-2018.pdf
Control-junio-2019.pdf
Control-Junio-2020.pdf
Control-junio-2021.pdf
Control-junio-2022.pdf

apuntes

-

Química (Primera parte)

He publicado nuevos apuntes de 1º Química: Química (Primera parte)

Tema-2-Estados-de-agregacion-de-la-materia.pdf
Tema-3-Gases.pdf
Tema-4-Disoluciones.pdf
Tema-5-Termodinamica.pdf

apuntes

-

Apuntes temario

He publicado nuevos apuntes de 1º Humanidades: Historia de la Ingeniería Mecánica: Apuntes temario

TEMAS-1-5-BLOQUE-I.docx
TERMODINAMICA-BLOQUE-I.docx
1.-Profesion-del-ingeniero-mecanico-BLOQUE-II.docx
2.-La-rueda-BLOQUE-II.docx
3.-La-maquina-de-vapor-BLOQUE-II.docx
4.-EL-ferrocarril-BLOQUE-II.docx