@Jiuxe

147 Publicaciones

3.24k Interacciones

1 Seguidores

0 Siguiendo

Lista de publicaciones de Jiuxe

He publicado nuevos ejercicios de 3º Tecnologias de los Sistemas Inteligentes: Ejercicio-Triangular.jpg

Imagen

He publicado nuevos examenes de 3º Tecnologias de los Sistemas Inteligentes: main.pdf

4 páginas

He publicado nuevos apuntes de 3º Modelos Avanzados de Computación (Especialidad Computación y Sistemas Inteligentes): MAC-ARRONES.pdf

14 páginas

examenes

-

Examenes MCA

He publicado nuevos examenes de 3º Modelos Avanzados de Computación (Especialidad Computación y Sistemas Inteligentes): Examenes MCA

examen16.pdf
examenjunio14.pdf
examensept14.pdf
examen17sep.pdf
examensept16.pdf
examen15.pdf

He publicado nuevos apuntes de 3º Metaheurísticas (Especialidad Computación y Sistemas Inteligentes): Pseudo-codigo.pdf

9 páginas

He publicado nuevos examenes de 3º Fundamentos de Redes: Test FR.pdf

5 páginas

He publicado nuevos examenes de 3º Diseño y Desarrollo de Sistemas de Información: Test DDSI.pdf

2 páginas

He publicado nuevos ejercicios de 2º Sistemas Operativos: Ejercicio SO Tema 1.pdf

3 páginas

He publicado nuevos examenes de 1º Ingeniería, Empresa y Sociedad: Test IES Tema 7.pdf

3 páginas

He publicado nuevos apuntes de 1º Ingeniería, Empresa y Sociedad: Preguntas IES.pdf

5 páginas

He publicado nuevos practicas de 1º Estadística: PrácticasAntonioSPSS.pdf

27 páginas

He publicado nuevos apuntes de 2º Arquitectura de Computadores: Ejercicios Protocolos Resueltos.pdf

3 páginas

apuntes

-

Ejercicios Resueltos

He publicado nuevos apuntes de 2º Arquitectura de Computadores: Ejercicios Resueltos

AC_ejercicios_tema1_algunos_resueltos.pdf
AC_ejercicios_tema4_resueltos.pdf
Ejercicio_10_tema1_resuelto_alternativa.pdf
Ejercicios grupos resueltos.pdf
AC - Relacion 2 Algunos Ejercicios Resueltos.pdf
AC - Relacion 3 Algunos Ejercicios Resueltos.pdf

apuntes

-

Temario ALGORITMICA

He publicado nuevos apuntes de 2º Algorítmica: Temario ALGORITMICA

Tema 1.pdf
Tema 2.pdf
Tema 3.pdf
Tema 4.pdf
Tema 5.pdf

He publicado nuevos ejercicios de 2º Algorítmica: Ejercicio 2 - Divide y Venceras - Algoritmica.pdf

4 páginas

He publicado nuevos ejercicios de 2º Algorítmica: Ejercicio 1 - Divide y Venceras - Algoritmica.pdf

5 páginas

He publicado nuevos examenes de 2º Programación y Diseño Orientado a Objetos: documento-1112.pdf

6 páginas

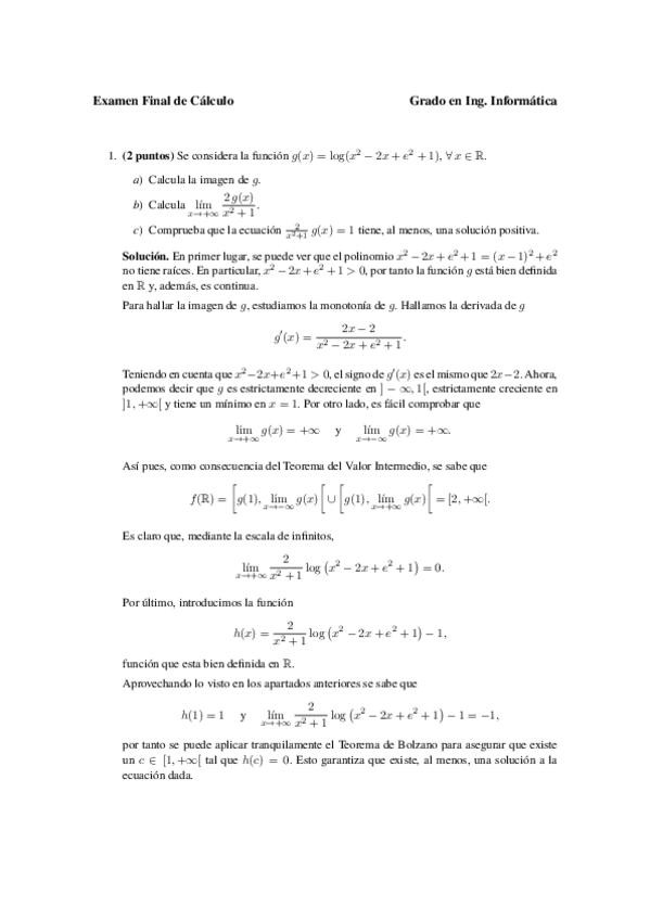
He publicado nuevos examenes de 1º Cálculo: photo_2017-11-17_12-47-48.jpg

Imagen

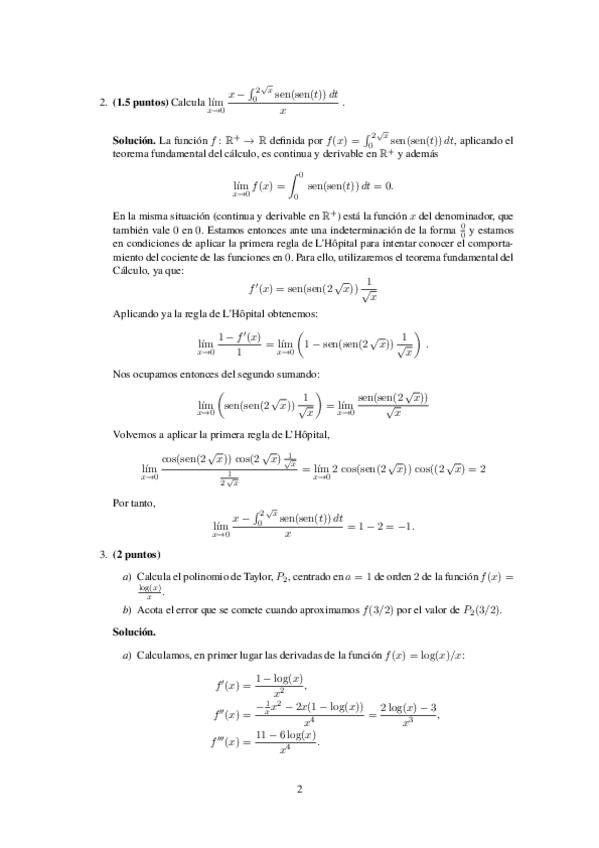
He publicado nuevos examenes de 1º Cálculo: Julio 2017 Resuelto.pdf

4 páginas

He publicado nuevos test de 2º Estructura de Computadores: Codigo Fuente Test -Examen 2016 Febr Teoria.txt

word