@JJmartinezxd

68 Publicaciones

2.79k Interacciones

5 Seguidores

3 Siguiendo

Lista de publicaciones de JJmartinezxd

He publicado nuevos ejercicios de 1º Tecnología de Fabricación: EJERCICIO-AULA-1-2526.pdf

2 páginas

He publicado nuevos test de 1º Diseño y aplicación de Equipos Industriales: PREGUNTAS-TIPO-TEST-UD2-DAEI.pdf

11 páginas

He publicado nuevos test de 1º Diseño y aplicación de Equipos Industriales: PREGUNTAS-TIPO-TEST-UD1-DAEI.pdf

6 páginas

He publicado nuevos apuntes de 1º Instrumentación y control industrial: ICI-2P.pdf

5 páginas

He publicado nuevos apuntes de 1º Instalaciones de Fluidos: 2n-PARCIAL-IF.pdf

12 páginas

He publicado nuevos apuntes de 4º Tecnología Energética: Definiciones-teoria-TEn.pdf

10 páginas

He publicado nuevos ejercicios de 4º Impresión 3D y fabricación: EJERCICIO-TIPO-3D.pdf

3 páginas

He publicado nuevos ejercicios de 3º Máquinas Térmicas: Problema-MT.pdf

1 página

He publicado nuevos examenes de 2º Fundamentos de Organización de Empresas: TESTS-EXAMEN-FOE.pdf

7 páginas

He publicado nuevos ejercicios de 2º Fundamentos de Organización de Empresas: EJERCICIOS-ARBOLES-VEIP.pdf

14 páginas

He publicado nuevos ejercicios de 2º Fundamentos de Organización de Empresas: EJERCICIOS-y-GUIA-PERT.pdf

14 páginas

He publicado nuevos ejercicios de 3º Tecnología del Medio Ambiente: PROBLEMAS-TIPO-EXAMEN-CONTAMINACION.pdf

2 páginas

He publicado nuevos ejercicios de 3º Tecnología del Medio Ambiente: PROBLEMAS-TIPO-EXAMEN-RESIDUOS.pdf

2 páginas

He publicado nuevos practicas de 3º Estructuras: PRACTICA-4-PORT-3.pdf

10 páginas

He publicado nuevos examenes de 3º Tecnología de Máquinas: Prueba-10PoliformaT.pdf

3 páginas

ejercicios

-

PROBLEMAS T-6

He publicado nuevos ejercicios de 3º Tecnología de Máquinas: PROBLEMAS T-6

P1.pdf
P3.pdf

ejercicios

-

Ejercicios Propuestos TMaq iPad

He publicado nuevos ejercicios de 3º Tecnología de Máquinas: Ejercicios Propuestos TMaq iPad

P02-TMaq.pdf
P03-TMaq.pdf
P04-TMaq.pdf
P16.pdf
P18.pdf

ejercicios

-

PROBLEMAS T-5

He publicado nuevos ejercicios de 3º Tecnología de Máquinas: PROBLEMAS T-5

P1.pdf
P2.pdf
P4.pdf
P3.pdf

examenes

-

Pruebas semanales TMaq iPad

He publicado nuevos examenes de 3º Tecnología de Máquinas: Pruebas semanales TMaq iPad

Prueba-Poliformat-01.pdf
Prueba-06-9.pdf
Prueba-07-10.pdf
Prueba-08.pdf
Prueba-05.pdf

ejercicios

-

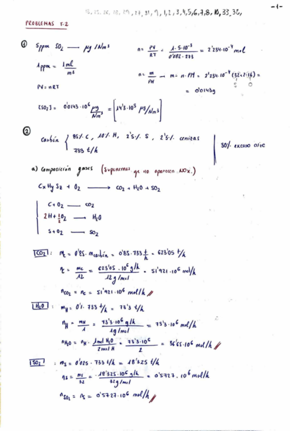
PROBLEMAS T-2

He publicado nuevos ejercicios de 3º Tecnología de Materiales: PROBLEMAS T-2

P2.pdf