@JKRLedger

66 Publicaciones

4.58k Interacciones

0 Seguidores

0 Siguiendo

Lista de publicaciones de JKRLedger

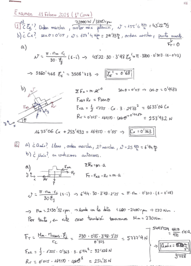
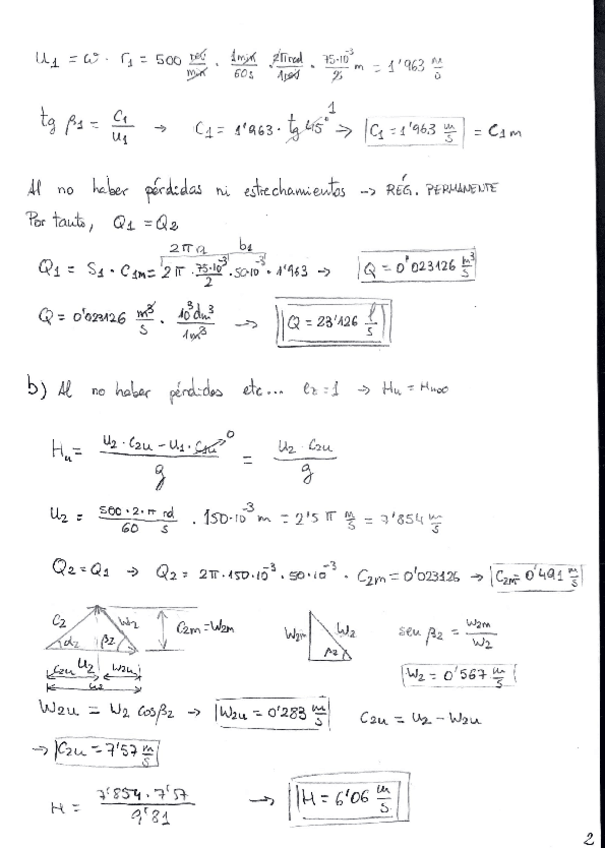
He publicado nuevos examenes de 4º Métodos Numéricos en la Ingeniería: SimulacionPracticaEvaluada2MetNum21-22.pdf

2 páginas

He publicado nuevos examenes de 4º Métodos Numéricos en la Ingeniería: ResolucionRepeticion1erParcial.pdf

7 páginas

He publicado nuevos examenes de 4º Métodos Numéricos en la Ingeniería: EnunciadoRepeticion1erParcial.pdf

2 páginas

He publicado nuevos examenes de 4º Métodos Numéricos en la Ingeniería: Parcial-2.pdf

5 páginas

He publicado nuevos examenes de 4º Métodos Numéricos en la Ingeniería: EnunciadoPracticaEvaluada2.pdf

2 páginas

He publicado nuevos examenes de 4º Métodos Numéricos en la Ingeniería: ResolucioPruebaEval1.pdf

6 páginas

He publicado nuevos examenes de 4º Métodos Numéricos en la Ingeniería: ENUNCIADOPracticaEvaluada1.pdf

2 páginas

He publicado nuevos practicas de 4º Ingeniería de la Prevención de Riesgos Laborales: TALLER-20.pdf

2 páginas

He publicado nuevos examenes de 4º Elementos Finitos en Ingeniería de Estructuras: SEGUNDO-PARCIAL-ELEMENTOS-FINITOS.pdf

pdf

PROBLEMA RESUELTO. Este problema ha caído también en el falso final de 2021/22 y he sacado un 10. Está de lujo

pdf

He publicado nuevos apuntes de 4º Automóviles: FORMULARIO-AUTOMOVILES.pdf

pdf

TEORÍA. EXAMEN RESUELTO.

pdf

He publicado nuevos apuntes de 4º Elementos Finitos en Ingeniería de Estructuras: PREGUNTAS-1er-PARCIAL-ELEMENTOS-FINITOS.pdf

24 páginas

He publicado nuevos apuntes de 4º Cálculo y Diseño de Máquinas II: TEMA-1.pdf

13 páginas

apuntes

-

Resúmenes de los temas 1 a 6

He publicado nuevos apuntes de 4º Proyectos II: Resúmenes de los temas 1 a 6

Resumen-TEMA-1.pdf
Resumen-TEMA-3.pdf
Resumen-TEMA-4.pdf
Resumen-tema-6.pdf
Resumen-TEMA-2-parte-I-y-II.pdf
Resumen-TEMA-5.pdf

practicas

-

Todas las prácticas hechas y aprobadas.

He publicado nuevos practicas de 3º Máquinas Térmicas e Hidráulicas: Todas las prácticas hechas y aprobadas.

PRACTICA-3-MTH.pdf
PRACTICA-1-MTH.pdf
PRACTICA-4-MTH.pdf
PRACTICA-5-MTH.pdf
PRACTICA-2-MTH.pdf

He publicado nuevos examenes de 1º Tecnología Eléctrica: Examenes-resueltos-2021-y-hacia-atras.pdf

34 páginas

He publicado nuevos ejercicios de 1º Tecnología Eléctrica: BOLETIN-8-TE.pdf

13 páginas

He publicado nuevos ejercicios de 3º Máquinas Térmicas e Hidráulicas: BOLETIN-BOMBAS-HIDRAULICAS.pdf

24 páginas

He publicado nuevos ejercicios de 1º Tecnología Eléctrica: BOLETIN-6-TE.pdf

13 páginas