@jmf89

45 Publicaciones

1.59k Interacciones

0 Seguidores

0 Siguiendo

Lista de publicaciones de jmf89

examenes

-

Exámenes ECO 2013-2021

He publicado nuevos examenes de 4º Evaluacion de Configuraciones: Exámenes ECO 2013-2021

Examen-ECO-jun2019.pdf
Examen-ECO-jun2015.pdf
Examen-ECO-jun2014.pdf
Examen-ECO-jun2016.pdf
Examen-ECO-jun2013.pdf
Examen-ECO-jun2018.pdf

examenes

-

Simulacro de 2021 - Resuelto

He publicado nuevos examenes de 3º Redes: Simulacro de 2021 - Resuelto

SIMULACRO2021.docx
SIMULACRO2021.pdf
SIMULACRO2021-Rys1.pdf

practicas

-

Prácticas de AM resueltas

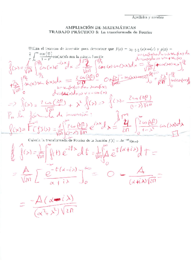
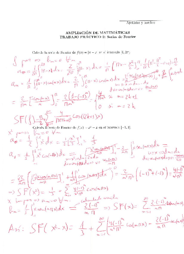
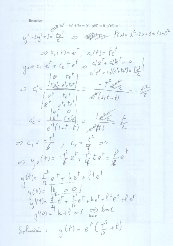
He publicado nuevos practicas de 2º Ampliación de Matemáticas: Prácticas de AM resueltas

P07resuelta.pdf
P05resuelta2.pdf
P01resuelta.pdf
P04resuelta1-2.pdf
P02resuelta.pdf
P03resuelta.pdf

examenes

-

Examenes resueltos AM 2013-2018

He publicado nuevos examenes de 2º Ampliación de Matemáticas: Examenes resueltos AM 2013-2018

Ex-Sept-15.pdf
Ex-Sep-12b.pdf
Ex-Sept-2014.pdf
Ex-Sept-13.pdf
Ex-Feb-14.pdf
Examen-Feb-13.pdf