@jmortiz

Bio: .

81 Publicaciones

1.01k Interacciones

0 Seguidores

1 Siguiendo

Lista de publicaciones de jmortiz

He publicado nuevos apuntes de 2º Mecánica de Fluidos I: LIQUIDOS.pdf

6 páginas

ejercicios

-

Boletines

He publicado nuevos ejercicios de 2º Elasticidad y Resistencia de Materiales: Boletines

TensionesNormales.pdf
EstructurasHiperestaticas.pdf
ProblemaInverso.pdf
Inestabilidad.pdf
Optimizacion.pdf
EstructurasIsostaticas.pdf

examenes

-

Exámenes

He publicado nuevos examenes de 2º Elasticidad y Resistencia de Materiales: Exámenes

1Convocatoria24-25.pdf
Parcial24-25.pdf
3Convocatoria23-24.pdf
Parcial23-24.pdf

ejercicios

-

Boletines

He publicado nuevos ejercicios de 2º Electrotecnia: Boletines

BoletinTema1.pdf
BoletinTema2.pdf
BoletinTema4.pdf
BoletinTema5.pdf
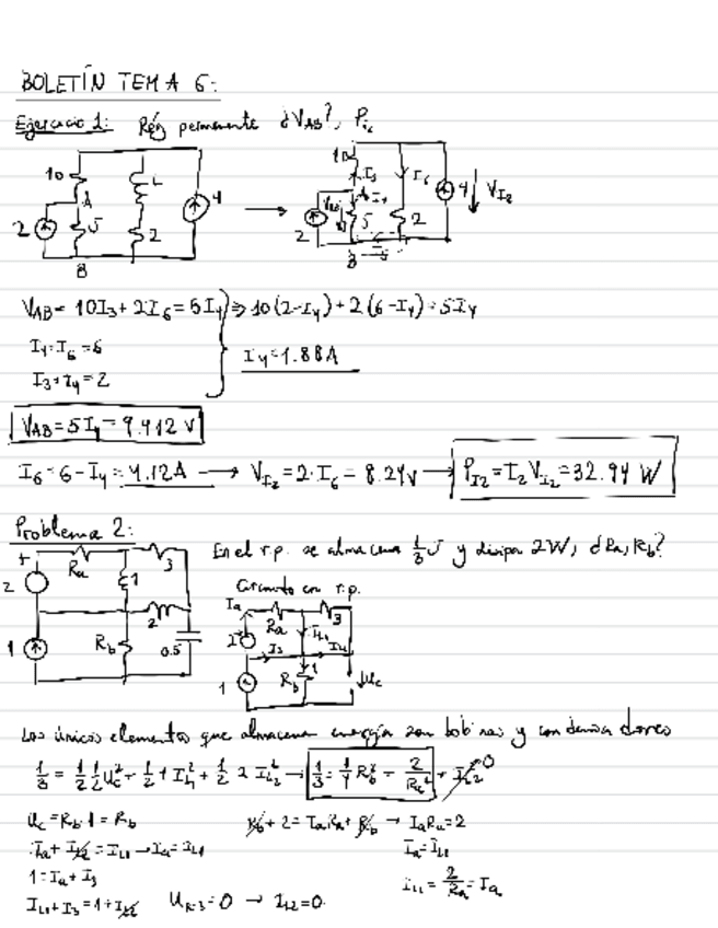
BoletinTema6.pdf
BoletinTema7.pdf

ejercicios

-

Ampli de mates temsa 3 y 4

He publicado nuevos ejercicios de 2º Ampliación de Matemáticas: Ampli de mates temsa 3 y 4

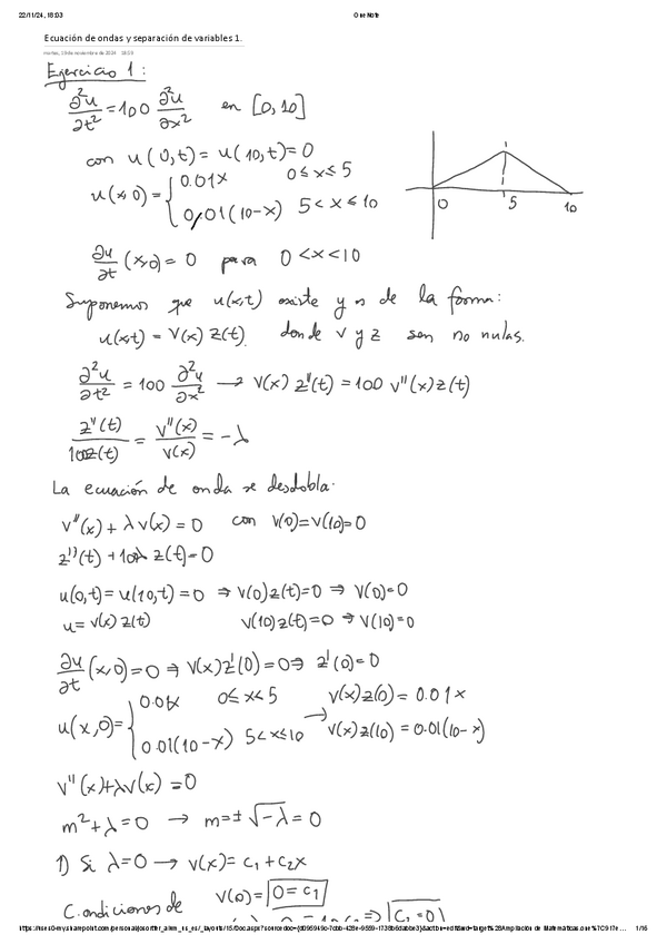
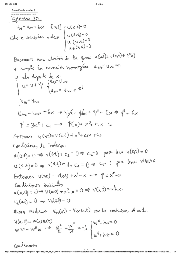
Ecuaciones-de-ondas-1.pdf
Ecuaciones-de-ondas-2.pdf
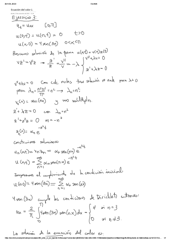
Ecuaciones-del-calor-1.pdf
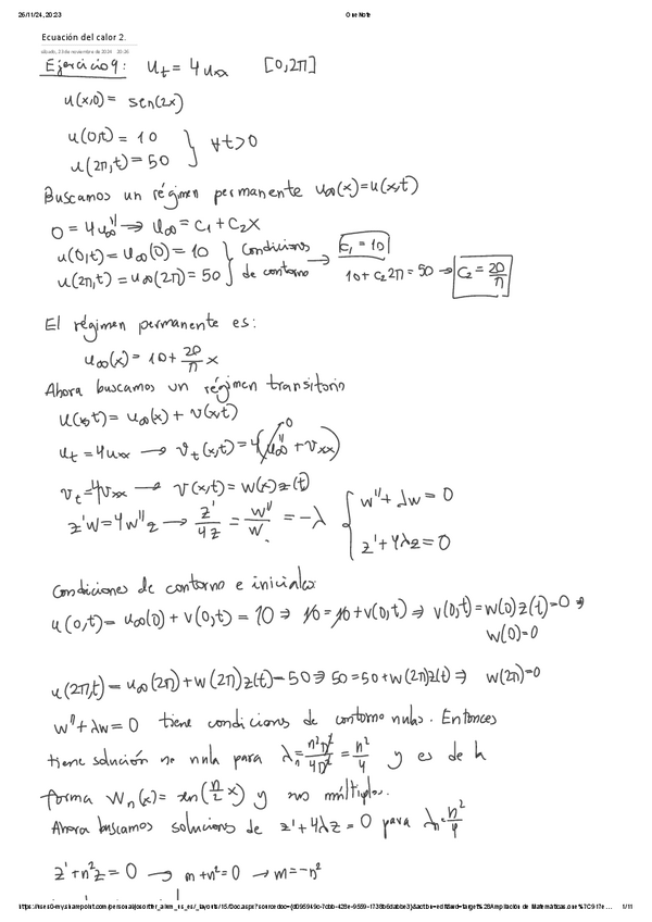
Ecuaciones-del-calor-2.pdf
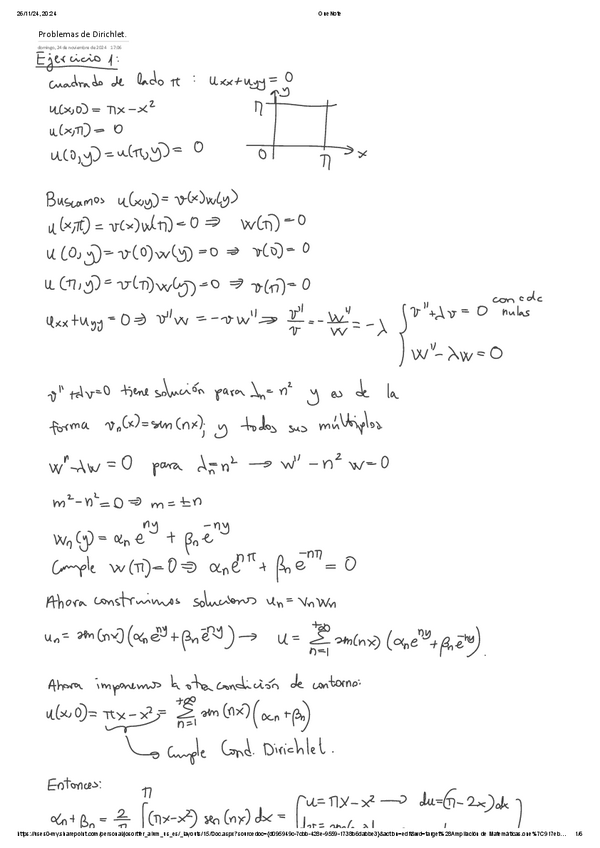
Problemas-de-Dirichlet.pdf
Problemas-de-Neumann.pdf

He publicado nuevos apuntes de 2º Termodinámica: mecanismos-combinados.pdf

18 páginas

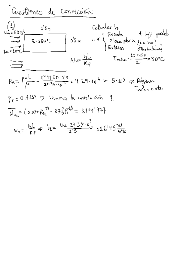
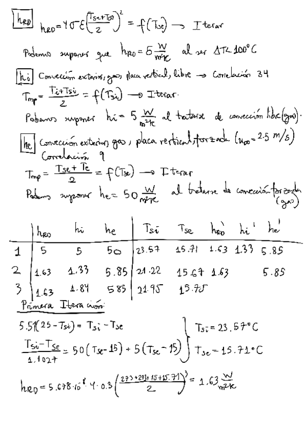
He publicado nuevos apuntes de 2º Termodinámica: Conveccion-cuestiones.pdf

4 páginas

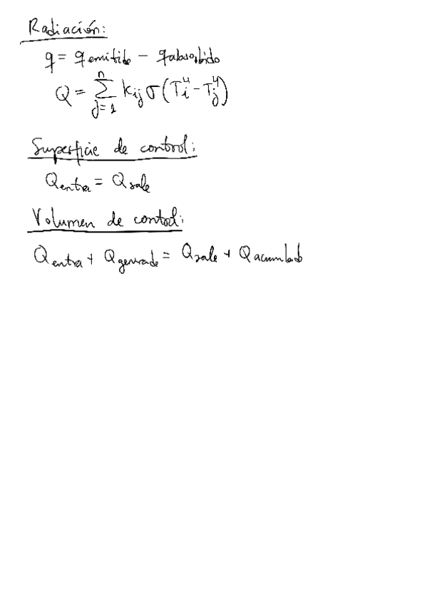
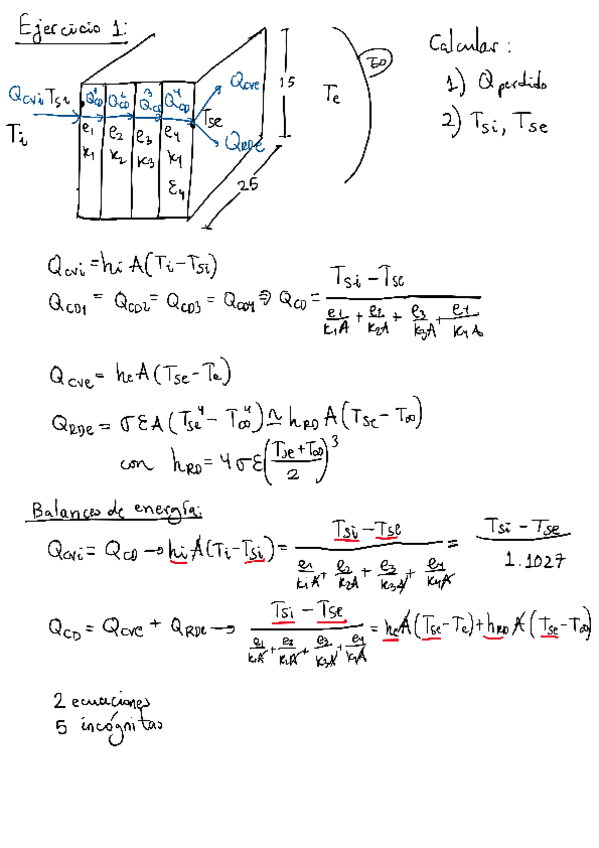
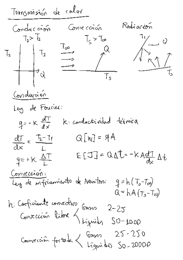
He publicado nuevos apuntes de 2º Termodinámica: Teoria-Transmision-de-calor.pdf

12 páginas

apuntes

-

Física 2º Bachillerato

He publicado nuevos apuntes de Física: Física 2º Bachillerato

apuntesfisicacuantica2.pdf
apuntesfisicacuantica2.pdf
apuntesfisicacuantica2.pdf
apuntesfisicacuantica.pdf
apuntesfisicacuantica.pdf
apuntesfisicacuantica.pdf