@JoaquinM

Estudios: Grado en Física (UGR) ...Mostrar más

32 Publicaciones

1.41k Interacciones

0 Seguidores

0 Siguiendo

Lista de publicaciones de JoaquinM

ejercicios

-

Entrega 2023/24

He publicado nuevos ejercicios de 3º Física Matemática: Entrega 2023/24

Entrega1JoaquinMedina.pdf
Entrega2JoaquinMedina.pdf
Entrega3JoaquinMedina.pdf
Entrega4JoaquinMedina.pdf
EvalContTema1.pdf
EvalContTemas23.pdf

He publicado nuevos apuntes de 4º Física Nuclear y de Partículas: T4-Modelo-Quarks.pdf

6 páginas

He publicado nuevos apuntes de 4º Física Nuclear y de Partículas: Formulario-Nucleon-Nucleon.pdf

2 páginas

He publicado nuevos apuntes de 4º Física Nuclear y de Partículas: Modelo-de-Capas.pdf

1 página

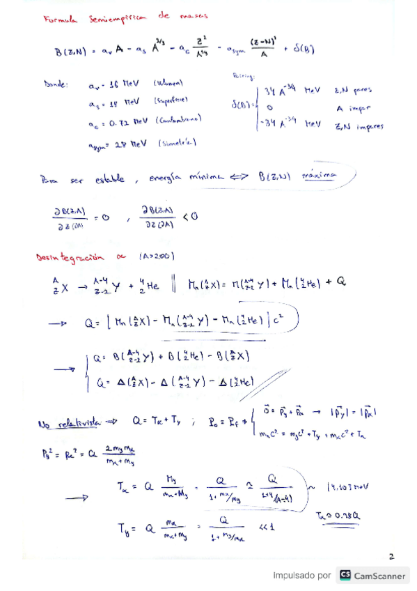
He publicado nuevos apuntes de 4º Física Nuclear y de Partículas: Formulario-Masas-y-Desintegraciones.pdf

4 páginas

He publicado nuevos apuntes de 2º Circuitos Eléctricos: Teoría e Instrumentación: Apuntes-Circuitos.pdf

21 páginas

He publicado nuevos apuntes de 2º Física de la Atmósfera: Resumen-T6.pdf

11 páginas

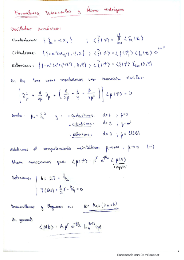
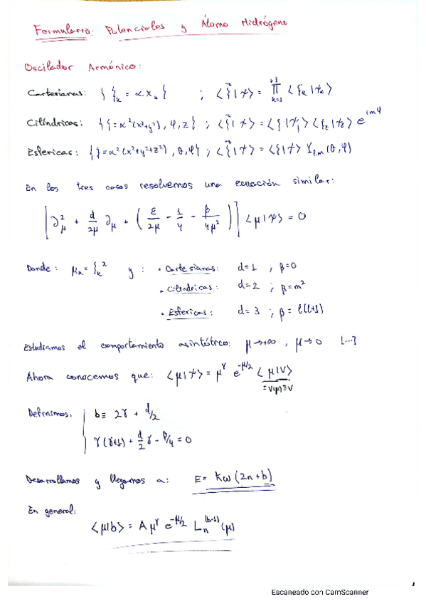
He publicado nuevos apuntes de 3º Física Cuántica: Formulario-At-Hidrogeno-y-Oscilador-Armonico.pdf

4 páginas

He publicado nuevos apuntes de 2º Física de la Atmósfera: Formulario-T5.pdf

2 páginas

He publicado nuevos apuntes de 2º Física de la Atmósfera: Resumen-T5.pdf

16 páginas

ejercicios

-

Tareas Atmósfera

He publicado nuevos ejercicios de 2º Física de la Atmósfera: Tareas Atmósfera

Tarea1Joaquin.pdf
Tarea2JoaquinMedina.pdf
Tarea6JoaquinMedina.pdf
Tarea4Joaquin.pdf
Tarea7JoaquinMedina.pdf

He publicado nuevos apuntes de 2º Física de la Atmósfera: Relacion-Vorticidad.pdf

6 páginas

He publicado nuevos apuntes de 2º Física de la Atmósfera: Relacion-Viento.pdf

6 páginas

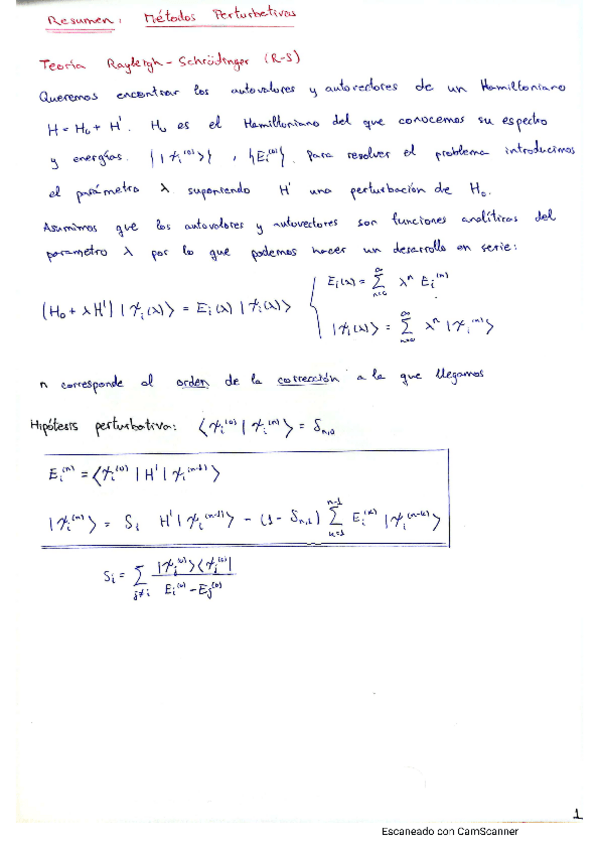
He publicado nuevos apuntes de 3º Física Cuántica: Resumen-Perturbaciones.pdf

3 páginas

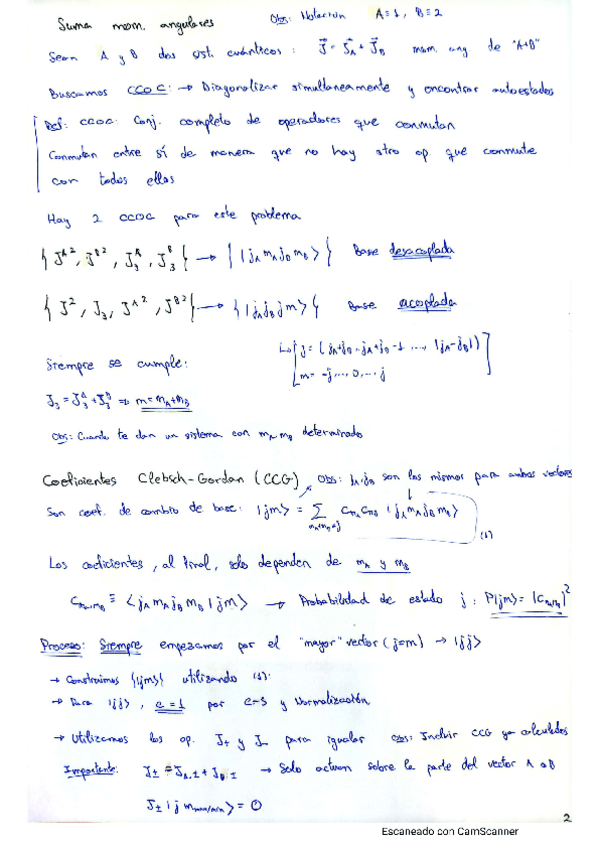
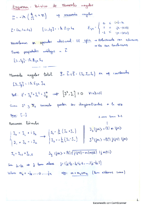
He publicado nuevos apuntes de 3º Física Cuántica: Fundamental-de-Momento-Angular.pdf

4 páginas

apuntes

-

Apuntes de Mecánica y Ondas

He publicado nuevos apuntes de 2º Mecánica y Ondas: Apuntes de Mecánica y Ondas

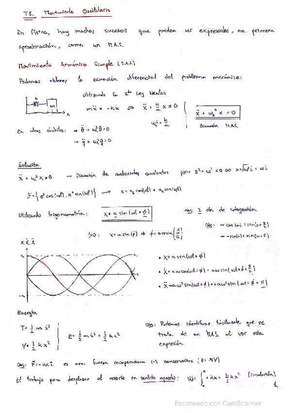
8-Movimiento-oscilatorio.pdf
10-Ondas.pdf
11-Relatividad.pdf
7-Fuerzas-centrales.pdf
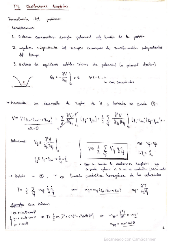
9-Oscilaciones-acopladas.pdf
1-Analisis-vectorial.pdf