@joorgee_

Estudios: Grado en Física (UAM) ...Mostrar más

26 Publicaciones

682 Interacciones

0 Seguidores

0 Siguiendo

Lista de publicaciones de joorgee_

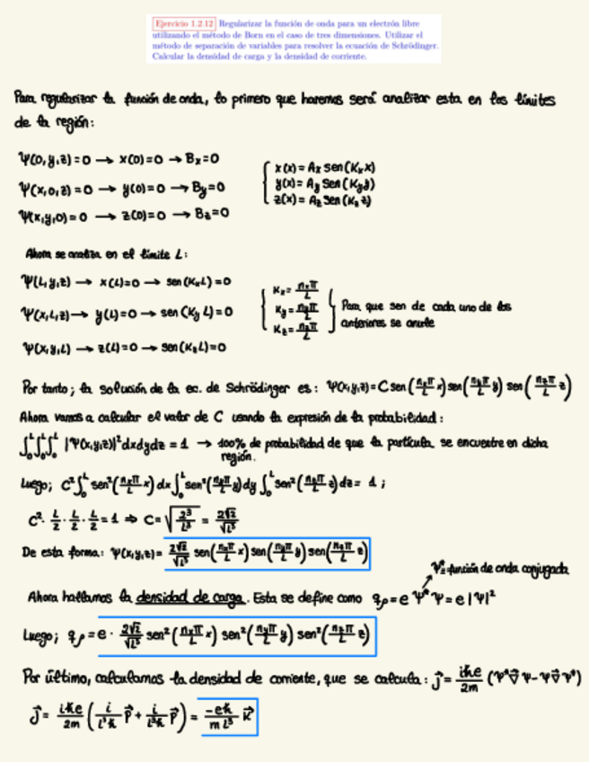
He publicado nuevos ejercicios de 2º Métodos Matemáticos I: Ejercicios-hoja-8-completa.pdf

9 páginas

He publicado nuevos apuntes de 1º Análisis II: toda-la-teoria-del-curso.zip

Miniatura no disponible
zip

He publicado nuevos apuntes de 1º Fundamentos de Física I: Formulario-Final-FFI.pdf

2 páginas

apuntes

-

Ejercicios FFIII (entregas completas)

He publicado nuevos apuntes de 1º Fundamentos de Fisica Iii: Ejercicios FFIII (entregas completas)

5o-Entregable.pdf
4o-Entregable.pdf
3o-Entregable.pdf
2o-Entregable.pdf

He publicado nuevos apuntes de 1º Análisis II: Ecuaciones-de-cada-tipo-de-curva-con-dibujos.pdf

1 página

apuntes

-

Resumenes previos prácticas de laboratorio

He publicado nuevos apuntes de 1º Fundamentos de Química: Resumenes previos prácticas de laboratorio

P5Q-ProcesosredoxespontaneospilasdeDaniellydeconcentracion.pdf
P4Q-Valoracionacidobase.pdf
P3Q-Entalpiadevaporizaciondelagua.pdf
P2Q-Determinaciondelaconstantedelosgases.pdf
P1Q-Preparaciondedisoluciones.pdf

apuntes

-

Informes TEI

He publicado nuevos apuntes de 1º Técnicas Experimentales I: Informes TEI

Caida-libre.pdf
Tension-superficial.pdf
Medida-de-la-velocidad-del-sonido.pdf

apuntes

-

Entrega I completa

He publicado nuevos apuntes de 2º Métodos Matemáticos I: Entrega I completa

Ejercicios-Parte-1.pdf
Ejercicios-Parte-2.pdf
Ejercicios-Parte-3.pdf
Ejercicios-Parte-4.pdf
Ejercicios-Parte-5.pdf
Ejercicios-Parte-6.pdf

He publicado nuevos apuntes de 2º Mecanica y Ondas I: Formulario-Parcial-1.pdf

2 páginas

apuntes

-

Informes TEII

He publicado nuevos apuntes de 2º Técnicas Experimentales II: Informes TEII

InformeL11TEII.-Jorge-Jimenez-Rodas.pdf
InformeL24TEII.-Jorge-Jimenez-Rodas.pdf
InformeL34TEII.-Jorge-Jiimenez-Rodas.pdf