@Jose_Luis41

52 Publicaciones

4.65k Interacciones

0 Seguidores

0 Siguiendo

Lista de publicaciones de Jose_Luis41

examenes

-

Colección COMPLETA

He publicado nuevos examenes de 3º Fundamentos de Electrónica: Colección COMPLETA

2014-jun.pdf
2014-sep.pdf
2016-JUN-v2.pdf
2017-JUN-solus-completo.pdf
2016-JUN-solu-def-v2.pdf
2016-SEP-v2-soluciones.pdf

examenes

-

Examenes Mecanizado+Metrología

He publicado nuevos examenes de 3º Tecnologias de fabricacion I: Examenes Mecanizado+Metrología

Examenes-Mecanizado.zip
Examenes-metrologia-y-calidad.zip

examenes

-

Colección

He publicado nuevos examenes de 3º Teoría de Estructuras y Construcciones Industriales: Colección

PEP-180601-R.pdf
1Conv-180627-R.pdf
PEP-170403.pdf
PEP-170601-R.pdf
2Conv-170904-R.pdf
1Conv-170627-R.pdf

apuntes

-

Libro Completo para Estudiar MATERIALES

He publicado nuevos apuntes de 2º Fundamentos de ingeniería de materiales: Libro Completo para Estudiar MATERIALES

LIBRO-COMPLETO-MATERIALES.pdf

He publicado nuevos examenes de 2º Teoría de Mecanismos y Máquinas: 05Curso20182019Coleccion-de-Examenes-TMM.pdf

42 páginas

apuntes

-

Parcial 2018-2019

He publicado nuevos apuntes de 2º Mecánica de Fluidos: Parcial 2018-2019

Examen-1o-Parcial-2019.jpg

apuntes

-

Guías programación C++ desde cero.

He publicado nuevos apuntes de 1º Fundamentos de Informática: Guías programación C++ desde cero.

C++ Básico.pdf
Lenguaje C++.pdf
Tutorial C++.pdf

He publicado nuevos practicas de 1º Fundamentos de Informática: Prácticas.rar

rar

He publicado nuevos trabajos de 1º Fundamentos de Informática: Enunciado_Proyecto_17-18.pdf

6 páginas

apuntes

-

Apuntes completos temario Matemáticas I

He publicado nuevos apuntes de 1º Matemáticas I: Apuntes completos temario Matemáticas I

NUMEROS_COMPLEJOS._TEMA_0.pdf
Tema 1. Funciones.pdf
2017 Tema 2. Derivación - Aplicaciones.pdf
TEORIA Y EJEMPLOS DE LA INTEGRACIÓN DE UNA FUNCIÓN DE UNA VARIABLE REAL (1).pdf
FUNCIONES_DE_VARIAS_VARIABLES.pdf

ejercicios

-

Colección de ejercicios (algunos resueltos) del temario completo.

He publicado nuevos ejercicios de 1º Matemáticas I: Colección de ejercicios (algunos resueltos) del temario completo.

Ejercicios (con la solución) Tema1 Funciones.pdf
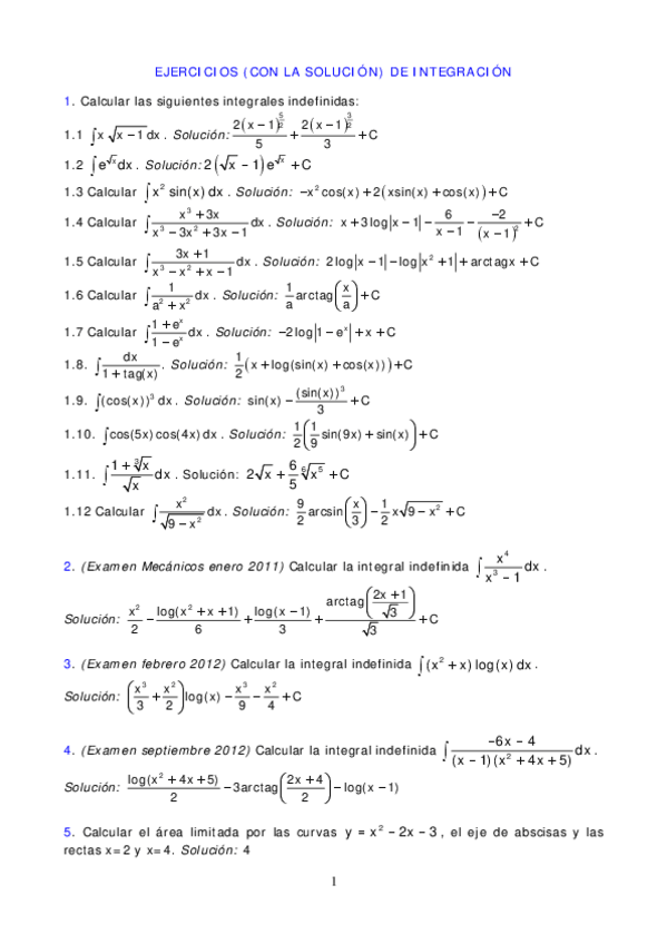
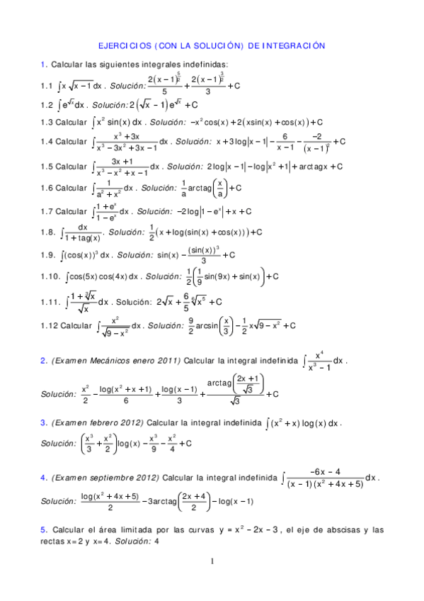
Ejercicios integraciónDefinitivo...pdf
+Ejercicios resueltos de integración indefinida y definida.pdf
2017 EJERCICIOS DE DERIVACIÓN PARCIAL CON SOLUCIÓN.pdf
Raíces de ecuaciones.pdf

apuntes

-

Apuntes completos temario Matemáticas I

He publicado nuevos apuntes de 1º Matemáticas I: Apuntes completos temario Matemáticas I

NUMEROS_COMPLEJOS._TEMA_0.pdf
Tema 1. Funciones.pdf
2017 Tema 2. Derivación - Aplicaciones.pdf
TEORIA Y EJEMPLOS DE LA INTEGRACIÓN DE UNA FUNCIÓN DE UNA VARIABLE REAL (1).pdf
FUNCIONES_DE_VARIAS_VARIABLES.pdf

He publicado nuevos examenes de 1º Fundamentos de Administración de Empresas: Examen tipo FAE v4.pdf

39 páginas

apuntes

-

Apuntes y guías para empezar C++ desde cero.

He publicado nuevos apuntes de 1º Fundamentos de Informática: Apuntes y guías para empezar C++ desde cero.

C++ Básico.pdf
Lenguaje C++.pdf
Tutorial C++.pdf

He publicado nuevos examenes de 1º Fundamentos de Informática: Pr12-Examen (1).pdf

4 páginas

He publicado nuevos examenes de 1º Fundamentos de Informática: Prácticas.rar

rar

trabajos

-

Enunciado Trabajo Matemáticas II y solución. (7,5)

He publicado nuevos trabajos de 1º Matemáticas II: Enunciado Trabajo Matemáticas II y solución. (7,5)

Enunciado.pdf
TRABAJO MATES II - GRUPO 9.pdf
Mates II (6-7,8).pdf

He publicado nuevos examenes de 1º Fundamentos de Informática: Pr12-Examen (1).pdf

4 páginas