@joseexuu

Estudios: Grado en Medicina (UCM) ...Mostrar más

28 Publicaciones

511 Interacciones

0 Seguidores

0 Siguiendo

Lista de publicaciones de joseexuu

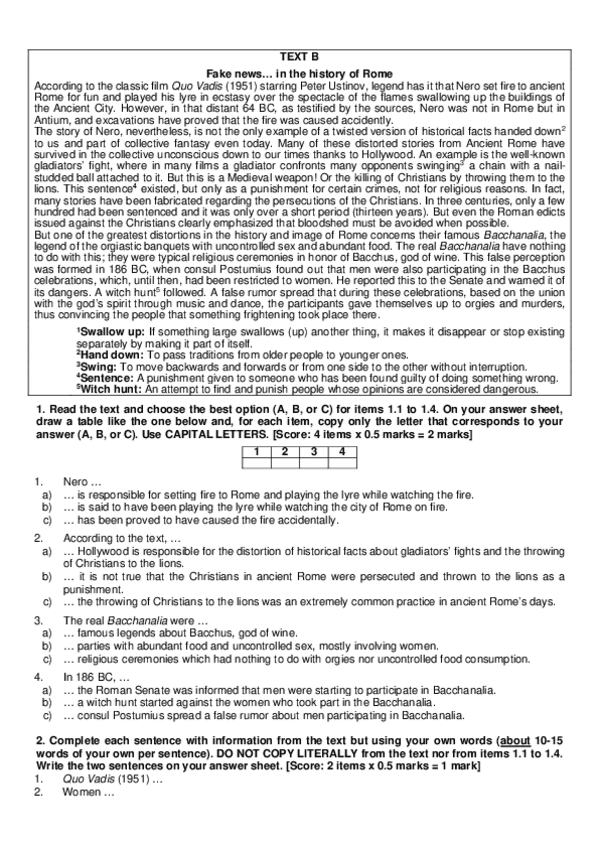
He publicado nuevos examenes de Matemáticas aplicadas a las Ciencias Sociales II: 2020Ordinaria207.pdf

4 páginas

He publicado nuevos examenes de Latín II: 2020Ordinaria208.pdf

3 páginas

He publicado nuevos examenes de Historia del Arte: 2020Ordinaria221.pdf

4 páginas

He publicado nuevos examenes de Economía de la Empresa: 2020Ordinaria215.pdf

8 páginas

He publicado nuevos examenes de Griego II : 2020Ordinaria219.pdf

3 páginas

He publicado nuevos examenes de Geografía: 2020Ordinaria217.pdf

4 páginas

He publicado nuevos examenes de Alemán: 2020Ordinaria205.pdf

7 páginas

He publicado nuevos examenes de Lengua Castellana y Literatura II: 2020Ordinaria201.pdf

3 páginas

He publicado nuevos examenes de Inglés: 2020Ordinaria203.pdf

8 páginas

He publicado nuevos examenes de Historia de España: 2020Ordinaria202.pdf

4 páginas

He publicado nuevos examenes de Historia de la Filosofía: 2020Ordinaria220.pdf

4 páginas

He publicado nuevos examenes de Química: 2020Ordinaria222.pdf

3 páginas

He publicado nuevos examenes de Matemáticas II: 2020Ordinaria206.pdf

6 páginas

He publicado nuevos examenes de Geología: 2020Ordinaria218.pdf

5 páginas

He publicado nuevos examenes de Física: 2020Ordinaria216.pdf

3 páginas

He publicado nuevos examenes de Dibujo técnico II: 2020Ordinaria213.pdf

17 páginas

He publicado nuevos examenes de Biología: 2020Ordinaria211.pdf

7 páginas

He publicado nuevos examenes de Matemáticas aplicadas a las Ciencias Sociales II: Matematicas-aplicadas-a-las-Ciencias-Sociales-Extraordinaria-2019.pdf

4 páginas

He publicado nuevos examenes de Historia de España: Historia-de-Espana-Extraordinaria-2019.pdf

5 páginas

He publicado nuevos examenes de Lengua Castellana y Literatura II: Lengua-Castellana-y-Literatura-Extraordinaria-2019.pdf

3 páginas