@Josemlg

42 Publicaciones

2.42k Interacciones

1 Seguidores

0 Siguiendo

Lista de publicaciones de Josemlg

He publicado nuevos apuntes de 1º Legislación en la Ingeniería Civil: Constitucion_es1.pdf

41 páginas

He publicado nuevos apuntes de 1º Matemática Aplicada: Tutorial_Mathematica.pdf

95 páginas

He publicado nuevos apuntes de 1º Matemática Aplicada: Tema 1.pdf

52 páginas

He publicado nuevos apuntes de 1º Matemática Aplicada: Ejercicios reales.pdf

1 página

He publicado nuevos apuntes de 1º Matemática Aplicada: Tema 1.pdf

52 páginas

He publicado nuevos apuntes de 1º Legislación en la Ingeniería Civil: CASO PRÁCTICO.docx

word

He publicado nuevos apuntes de 1º Matemática Aplicada: Ex5_11_12resuelto4.pdf

3 páginas

practicas

-

Prácticas Física

He publicado nuevos practicas de 1º Física: Prácticas Física

Practica 3.docx
Practica 2.docx
Practica 4.docx
Practica 5.docx
Practica 6.docx

He publicado nuevos apuntes de 3º Sistemas de Transporte: Teoría Transportes.pdf

14 páginas

He publicado nuevos apuntes de 1º Geología: Apuntes Rocas.pdf

21 páginas

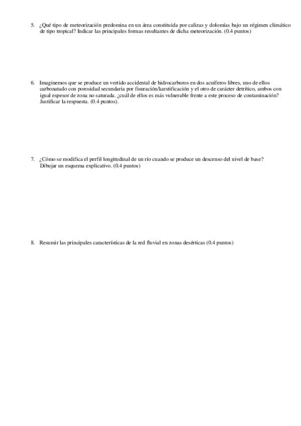
He publicado nuevos apuntes de 1º Geología: Examen_caminos_jun_2007.pdf

4 páginas

He publicado nuevos apuntes de 3º Procedimientos de Construcción I: Preguntas Test PEDRO_CALDERAT_LARA.pdf

102 páginas

He publicado nuevos examenes de 2º Ingeniería Geomática, Sitemas de Información Geográfic Ay Topografía: Preguntas de Teoria Modelo I _Caminos_.pdf

2 páginas

He publicado nuevos examenes de 3º Sistemas de Transporte: Escanear0006.jpg

Imagen

He publicado nuevos examenes de 2º Ingeniería Geomática, Sitemas de Información Geográfic Ay Topografía: EXAMEN DE ESTETICA DE LA INGENIERIA CIVIL.junio.pdf

1 página

He publicado nuevos apuntes de 1º Física: sol sep2013.pdf

3 páginas

He publicado nuevos apuntes de 1º Física: sol examen sep 2011_1-3.pdf

1 página

He publicado nuevos apuntes de 2º Ingeniería Gráfica II: 160304 Grupo B.pdf

2 páginas

He publicado nuevos apuntes de 2º Ingeniería Gráfica II: Junio2015.pdf

7 páginas

He publicado nuevos examenes de 2º Ingeniería Geomática, Sitemas de Información Geográfic Ay Topografía: EXAMEN DE ESTETICA DE LA INGENIERIA CIVIL.SEPTIEMBRE 13doc.pdf

1 página