@jota01

Estudios: Grado en Matemáticas (UEX) ...Mostrar más

20 Publicaciones

504 Interacciones

0 Seguidores

0 Siguiendo

Lista de publicaciones de jota01

Ejercicios del tema 1 al tema 3

24 páginas

Ejercicios del tema 4 al tema 5

7 páginas

Examenes 2024-2025 (cambio profesor)

13 páginas

apuntes

-

REPASO COMPLETO ASIGNATURA

He publicado nuevos apuntes de 3º Probabilidad: REPASO COMPLETO ASIGNATURA

Baterias-de-Verdaderos-Y-Falsos.pdf
EJS-TIPO-EXAMEN.pdf

Ejercicios tipo para el primer Parcial

12 páginas

Batería de verdaderos y falsos acerca del primer parcial

10 páginas

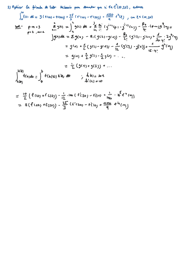
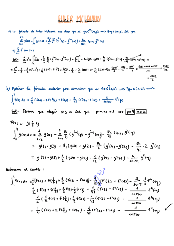
He publicado nuevos apuntes de 4º Métodos Numéricos Ii: Euler-Mclaurin.pdf

3 páginas

He publicado nuevos apuntes de 4º Estadística Matemática: EJERCICIOS-PRIMER-PARCIAL.pdf

9 páginas

He publicado nuevos apuntes de 3º Geometría diferencial I: Resumen-Teoria-Geo-DIF-I.pdf

15 páginas

TIPO TEST DE OTROS AÑOS RECOPILACION

13 páginas

Ejercicios tipo del segundo parcial

13 páginas

Teoria de los primeros temas

6 páginas

Examenes resueltos

21 páginas

Ejercicios de todos los temas para repasar

21 páginas

examenes

-

ALGEBRA I COMPLETO

EJS resueltos, parciales y examenes de otros años

ALGEBRA-I-T1.pdf
ALGEBRA-I-T2.pdf
ALGEBRA-I-T3.pdf
ALGEBRA-I-T4.pdf
ALGEBRA-I-T5.pdf