@Juli_a912

19 Publicaciones

424 Interacciones

6 Seguidores

0 Siguiendo

Lista de publicaciones de Juli_a912

He publicado nuevos apuntes de Historia de la Filosofía: Comentario-de-texto-Simone-de-Beauvoir.pdf

4 páginas

He publicado nuevos apuntes de Historia de la Filosofía: Relaciones-con-autores-de-Simone-de-Beauvoir.pdf

8 páginas

He publicado nuevos apuntes de Lengua Castellana y Literatura II: Examen-literatura-lengua-contextualizacion-autores-Gneracion-27-Poesia-Social-Generacion-del-98.pdf

7 páginas

He publicado nuevos apuntes de Historia de la Filosofía: RELACIONES-AUTORES-F.-NIETZSCHE.pdf

3 páginas

He publicado nuevos apuntes de Historia de la Filosofía: COMENTARIO-DE-TEXTO-F.-NIETZSCHE.pdf

3 páginas

He publicado nuevos apuntes de Historia de España: Apuntes-II-Republica.-Origen-caracteristicas-fin-de-la-republica.pdf

4 páginas

He publicado nuevos apuntes de Historia de la Filosofía: Relaciones-con-autores-K.-MARX.pdf

4 páginas

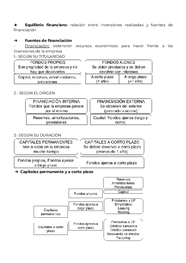
He publicado nuevos apuntes de Economía de la Empresa: APUNTES-Unidad-6-Inversion-y-financiacion-de-la-empresa.pdf

6 páginas

Apuntes Primo de Rivera 2º Bachillerato PAU

5 páginas

Comentarios Karl Marx 2º Bachillerato PAU

5 páginas

Apuntes para examen PAU geografía pisos vegetación y gráfica

3 páginas

Apuntes para examen geografía, conceptos PAU y comentarios de paisajes 2º BACHILLERATO

12 páginas

Apuntes comentarios de texto Kant 2º BACHILLERATO

4 páginas

Apuntes para examen con esquemas: La producción de las empresas 2ºBachillerato

6 páginas

Apuntes exámenes inglés 2º BACHILLERATO

2 páginas

Apuntes para 2ºBachillerato H. ESPAÑA

5 páginas

Apuntes sobre Geografía 2ºBachillerato

5 páginas

Comentarios de texto resueltos + relaciones de Aristóteles con otros autores

8 páginas

Apuntes para examen tema Marketing 2ºBachillerato

12 páginas