@Julia_Evans

16 Publicaciones

1.75k Interacciones

0 Seguidores

0 Siguiendo

Lista de publicaciones de Julia_Evans

apuntes

-

Apuntes histología

He publicado nuevos apuntes de 2º Biología Celular e Histología: Apuntes histología

Histologia.pdf
Histologia.pdf
Histo.pdf

He publicado nuevos apuntes de 1º Física: Formulas-biomecanica-y-bioelectricidad.pdf

8 páginas

He publicado nuevos apuntes de 1º Física: Apuntes-bioelectricidad.pdf

9 páginas

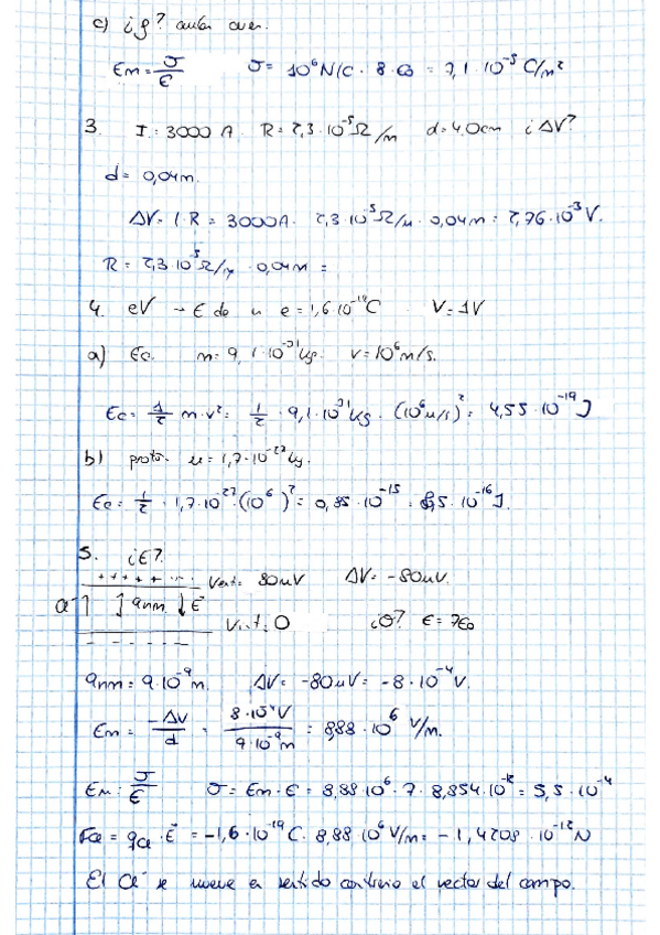
He publicado nuevos ejercicios de 1º Física: Ejercicios-bioelectricidad.pdf

5 páginas

ejercicios

-

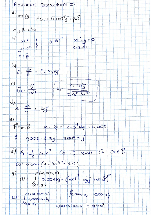
Ejercicios Biomecánica

He publicado nuevos ejercicios de 1º Física: Ejercicios Biomecánica

Ejercicios-biomecanica-I.pdf
Ejercicios-biomecanica-II-Fluidos.pdf
Ejercicios-biomecanica-III.pdf

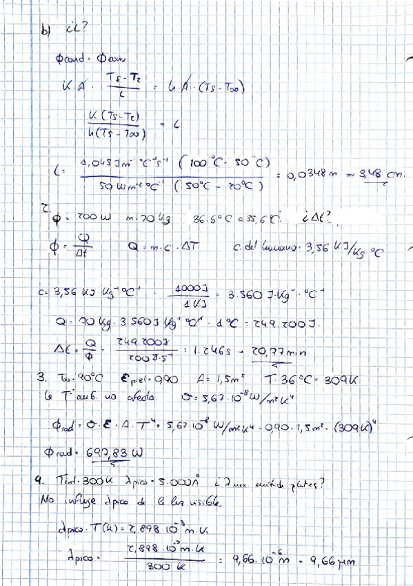
He publicado nuevos ejercicios de 1º Física: Ejercicios-Termodinamica-de-la-vida-II.pdf

4 páginas

He publicado nuevos ejercicios de 1º Física: Ejercicios-Termodinamica-de-la-vida-I-.pdf

3 páginas

apuntes

-

Biomecánica

He publicado nuevos apuntes de 1º Física: Biomecánica

Biomecanica-I.pdf
Biomecanica-II-Fluidos.pdf

He publicado nuevos apuntes de 1º Física: Formulas-Termodinamica-de-la-vida-1-y-2.pdf

3 páginas

He publicado nuevos apuntes de 1º Física: Termodinamica-de-la-vida-II.pdf

7 páginas

He publicado nuevos apuntes de 1º Física: Termodinamica-de-la-vida-I.pdf

7 páginas