@juliaredondo97

14 Publicaciones

1.18k Interacciones

0 Seguidores

0 Siguiendo

Lista de publicaciones de juliaredondo97

He publicado nuevos apuntes de 4º Dirección Financiera: FORMULARIO-COMPLETO-PRACTICA.pdf

13 páginas

He publicado nuevos apuntes de 3º Econometría: Copia-de-BONDAD-DE-AJUSTE-teoria.pdf

3 páginas

He publicado nuevos apuntes de 3º Econometría: Copia-de-INTERPRETACION-teorica-PARAMETROS.pdf

1 página

He publicado nuevos apuntes de 3º Econometría: formulario.pdf

1 página

He publicado nuevos apuntes de 4º Análisis y Control de Costes: Tema-3-Sistemas-de-costes-completos-historicos-2-2.pdf

18 páginas

He publicado nuevos apuntes de 4º Análisis y Control de Costes: Tema-7-La-contabilidad-de-gestion-y-la-toma-de-decisiones.pdf

24 páginas

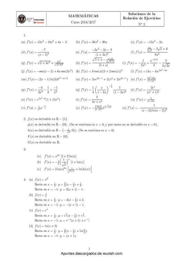
He publicado nuevos apuntes de 1º Matemáticas Empresariales: SolucionesRelac2.pdf

2 páginas

He publicado nuevos apuntes de 1º Matemáticas: Tema-7-Diag1920.pdf

11 páginas

He publicado nuevos apuntes de 1º Matemáticas: wuolah-free-relacion6solucion.pdf

2 páginas

He publicado nuevos apuntes de 1º Matemáticas: wuolah-free-relacion5solucion.pdf

2 páginas

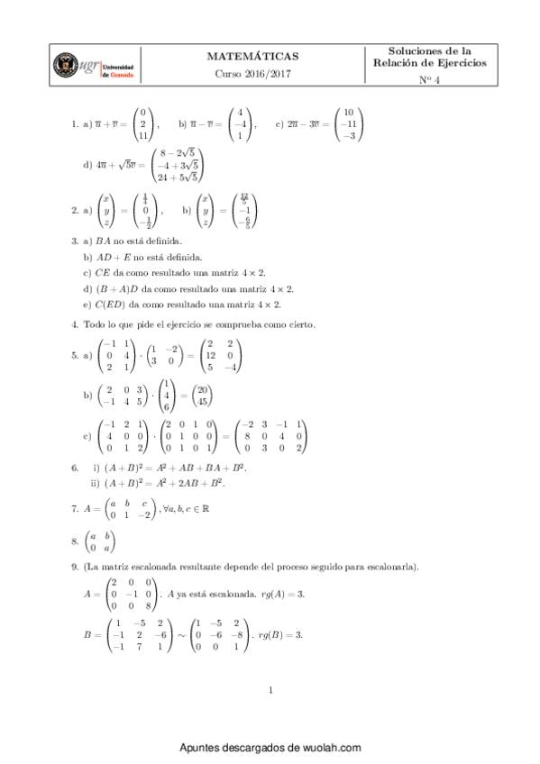
He publicado nuevos apuntes de 1º Matemáticas: wuolah-free-relacion4solucion.pdf

2 páginas

He publicado nuevos apuntes de 1º Matemáticas: wuolah-free-relacion3solucion.pdf

2 páginas

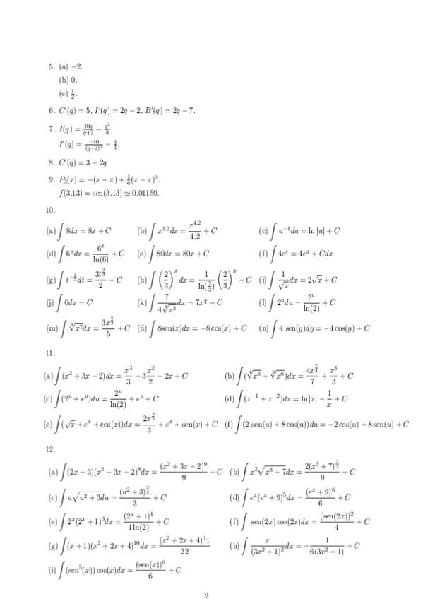
He publicado nuevos apuntes de 1º Matemáticas: wuolah-free-relacion2solucion.pdf

5 páginas

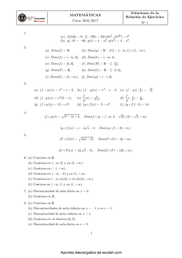
He publicado nuevos apuntes de 1º Matemáticas: wuolah-free-R1-SoluciAn-Conceptos-bAsicos-sobre-funciones-de-uan-variable.pdf

2 páginas