@Kaktusplay

82 Publicaciones

2.38k Interacciones

2 Seguidores

0 Siguiendo

Lista de publicaciones de Kaktusplay

He publicado nuevos apuntes de 2º Ingeniería de Materiales: Libro-entero-Callister-Recomendado.pdf

803 páginas

ejercicios

-

EJERCICIOS BJT

He publicado nuevos ejercicios de 2º Fundamentos de Electrónica: EJERCICIOS BJT

Ejercicio-1.pdf
ejercico-2.pdf
Ejercicio-6.pdf
Ejercicio-13.pdf
Ejercicio-2.pdf
Ejercicio-4.pdf

He publicado nuevos apuntes de 2º Fundamentos de Electrónica: BOYLESTAD.pdf

928 páginas

He publicado nuevos ejercicios de 2º Fundamentos de Electrónica: Ej-2-BJTs.pdf

6 páginas

He publicado nuevos apuntes de 2º Fundamentos de Electrónica: Ejercicio-Fuente-alimentacion.pdf

3 páginas

apuntes

-

Apuntes Transistores y Diodos Explicados

He publicado nuevos apuntes de 2º Fundamentos de Electrónica: Apuntes Transistores y Diodos Explicados

Transistor-como-regulador-de-corriente.pdf
Conversion-AC-DC.pdf
Transistor-Bipolar.pdf
Transistor-como-interruptor.pdf
Comportamiento-dinamico-Diodos.pdf
Transformadores.pdf

apuntes

-

Ejercicios de todo el temario

He publicado nuevos apuntes de 2º Matemáticas III: Ejercicios de todo el temario

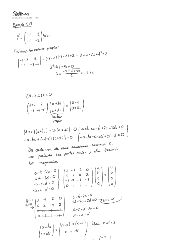
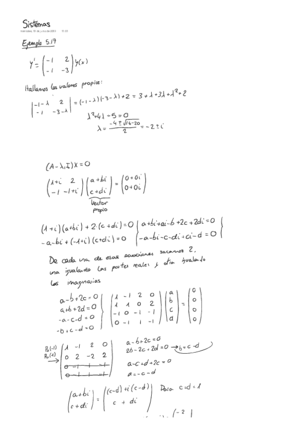
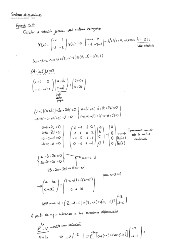
Sistemas-de-ecuaciones.pdf
Todos-los-tipos-de-EDP-resueltos.pdf
Problemas-de-examen-sistemas-de-ecuaciones.pdf
Trabajo-1.pdf
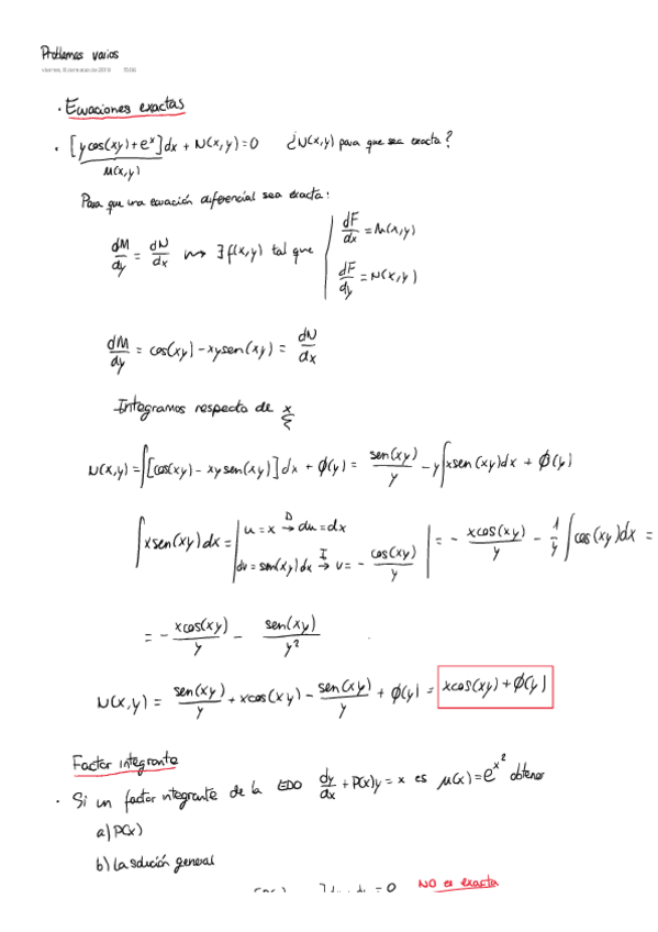
Problemas-varios.pdf
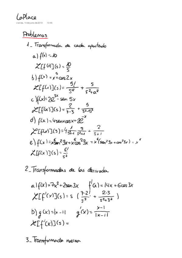
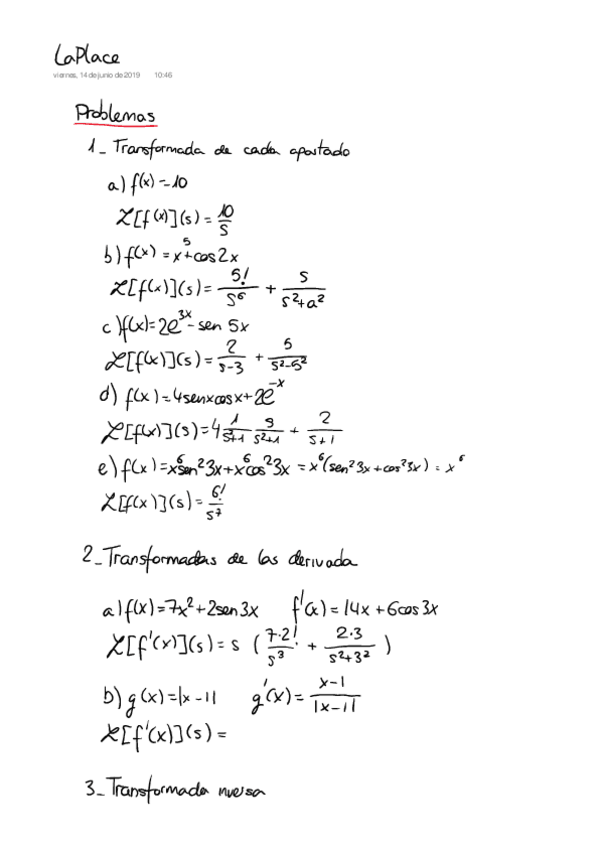
Ejercicios-Laplace-resueltos.pdf

apuntes

-

Ejercicios de todo el temario

He publicado nuevos apuntes de 1º Matemáticas III: Ejercicios de todo el temario

Ejercicios-Laplace-resueltos.pdf
Problemas-de-examen-sistemas-de-ecuaciones.pdf
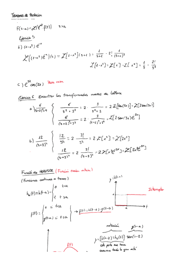
Teoremas-de-traslacion.pdf
EDO-de-1er-orden.pdf
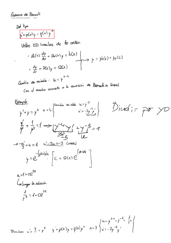
Ecuaciones-de-bernoulli.pdf
Problemas-varios.pdf

He publicado nuevos apuntes de 2º Señales y Sistemas: Bode.pdf

4 páginas

He publicado nuevos examenes de 2º Electrónica Digital: Diseno-Parcial-17-18.pdf

3 páginas