@kikeeramoss

Bio: Alumno de matrícula de honor. Estudio Física en la UGR. 4º curso.

100 Publicaciones

1.72k Interacciones

1 Seguidores

1 Siguiendo

Lista de publicaciones de kikeeramoss

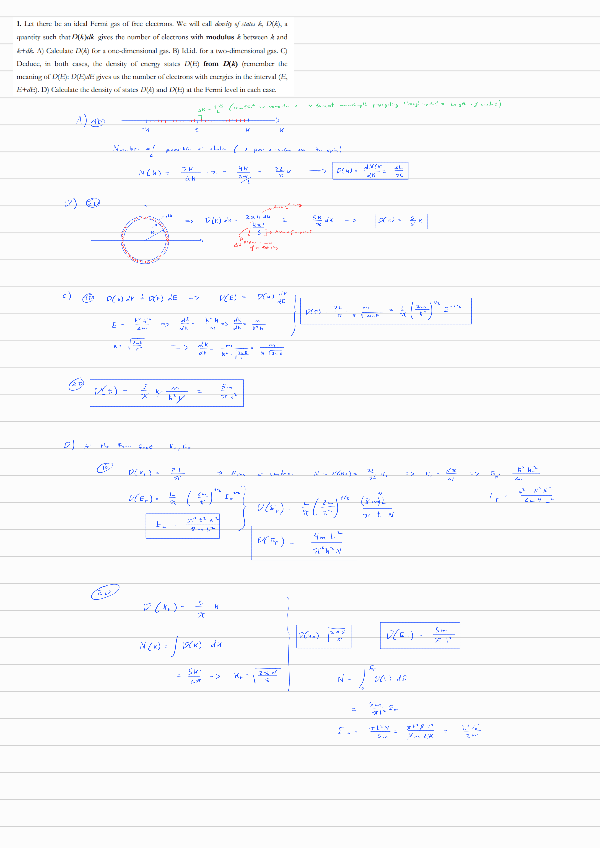
ejercicios

-

Relaciones Resueltas

He publicado nuevos ejercicios de 4º Física Nuclear y de Partículas: Relaciones Resueltas

Serie-1-Resuelta.pdf
Serie 2 resuelta.pdf
Serie-3-resuelta.pdf
1Nuclearresuelta.pdf
4Serieresuelta.pdf

apuntes

-

Apuntes de clase

He publicado nuevos apuntes de 4º Física Nuclear y de Partículas: Apuntes de clase

1-Introduccion-a-Fisica-de-Particulas.pdf
2-Cinematica-relativista.pdf
3-Leyes-de-conservacion.pdf
4-Modelo-de-quarks.pdf
5-Propiedades-generales-de-los-nucleos.pdf
6-Fuerza-Nuclear.pdf

ejercicios

-

Relaciones resueltas explicadas

He publicado nuevos ejercicios de 4º Física del Estado Sólido: Relaciones resueltas explicadas

Problem-set-1.pdf
Problem-set-2.pdf
Problem-set-3.pdf

apuntes

-

Resumen Temas

He publicado nuevos apuntes de 4º Electrodinámica: Resumen Temas

1-Fundamentos-del-campo-electromagnetico.pdf
2-Fundamentos-de-la-radiacion-electromagnetica.pdf
3-Ondas-electromagneticas.pdf
4-guias-de-onda.pdf
5-Antenas.pdf

apuntes

-

Lecture Notes

He publicado nuevos apuntes de 4º Física del Estado Sólido: Lecture Notes

0-Fisica-del-Estado-Solido-Definiciones.pdf
1-Crystalline-Structure-of-Solids.pdf
3-Electronic-structure-of-solids.pdf
2-Thermal-properties-of-solids.-Fonons.pdf
4-Transport-phenomena-in-solids.pdf

apuntes

-

Lecture Notes

He publicado nuevos apuntes de 4º Relatividad General: Lecture Notes

1-Maxwell-Theory.pdf
2-Principle-of-Relativity.pdf
3-Special-Relativity.pdf
4-Tensor-algebra.pdf
5-Special-Relativity-in-Covariant-Notation.pdf
6-Manifolds.pdf

apuntes

-

Lecture Notes

He publicado nuevos apuntes de 4º Mecánica Cuántica: Lecture Notes

1-Fundamentals-of-Quantum-Mechanics.pdf
2-Composite-systems.pdf
3-Symmetries.pdf
4-Perturbation-Theory.pdf
5-Scattering-theory.pdf