@Kilgore

Bio: Los mejores apuntes de la historia

98 Publicaciones

4.87k Interacciones

3 Seguidores

1 Siguiendo

Lista de publicaciones de Kilgore

He publicado nuevos examenes de 3º Electrónica de Potencia: Cuestiones examen resueltas - TOP.pdf

17 páginas

He publicado nuevos apuntes de 3º Electrónica Analógica: Resumen 1er Parcial - TOP.pdf

77 páginas

apuntes

-

Resumen toda la teoría - TOP

He publicado nuevos apuntes de 3º Instrumentación Electrónica: Resumen toda la teoría - TOP

Resumen 1 parcial.pdf
Resumen 2 parcial.pdf

He publicado nuevos apuntes de 3º Informática Industrial: Formulario examen - TOP.pdf

4 páginas

He publicado nuevos examenes de 4º Proyectos de Ingeniería: Preguntas tipo test examen - TOP.pdf

18 páginas

He publicado nuevos apuntes de 4º Sistemas Automáticos en Edificios inteligentes: Resumen temas 1, 2 y 3.pdf

4 páginas

He publicado nuevos examenes de 4º Proyectos de Ingeniería: Preguntas cortas examen - TOP.pdf

5 páginas

He publicado nuevos apuntes de 3º Automatización Industrial: Resumen toda la teoria - TOP.pdf

16 páginas

apuntes

-

Resumen TODOS los temas - TOP

He publicado nuevos apuntes de 3º Prevención Industrial de Riesgos: Resumen TODOS los temas - TOP

Tema-1.pdf
Tema-2.pdf
Tema-3.pdf
Tema-4.pdf
Tema-5.pdf
Tema-6.pdf

He publicado nuevos apuntes de 3º Dibujo Industrial: Formulario y pasos a seguir PARTE PRACTICA.pdf

2 páginas

He publicado nuevos apuntes de 3º Ampliación de Electrotecnia: Formulario completo de Transformadores y Máquinas Asíncronas.pdf

4 páginas

He publicado nuevos apuntes de 2º Termotecnia: Practica Informatica NOTA 9.pdf

17 páginas

He publicado nuevos apuntes de 1º Física II: Formulario-Fisica-2.pdf

2 páginas

apuntes

-

Test prácticas soluciones

He publicado nuevos apuntes de 2º Electrónica: Test prácticas soluciones

Practica-5.pdf
Practica-9.pdf
Practica-7.pdf
Practica-8.pdf
Practica-6.pdf

He publicado nuevos examenes de 2º Teoría de Mecanismos y Máquinas: Examen cinemática febrero 2022 RESUELTO.pdf

4 páginas

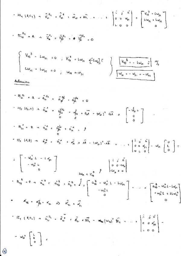
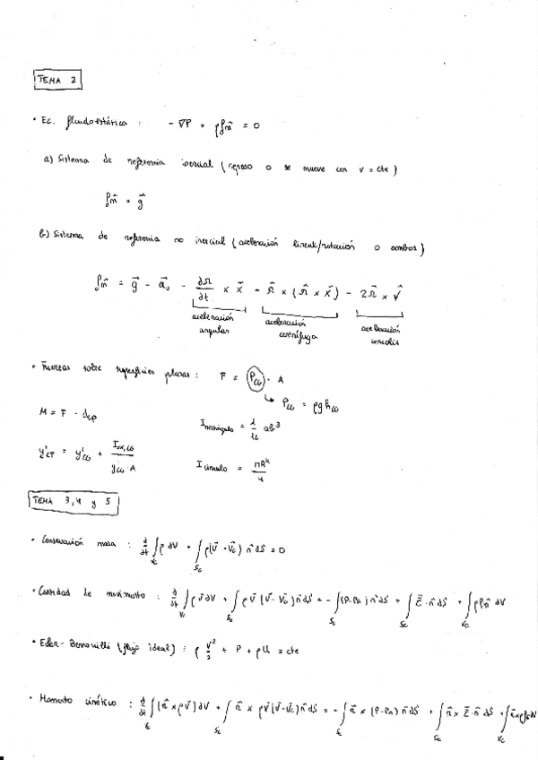
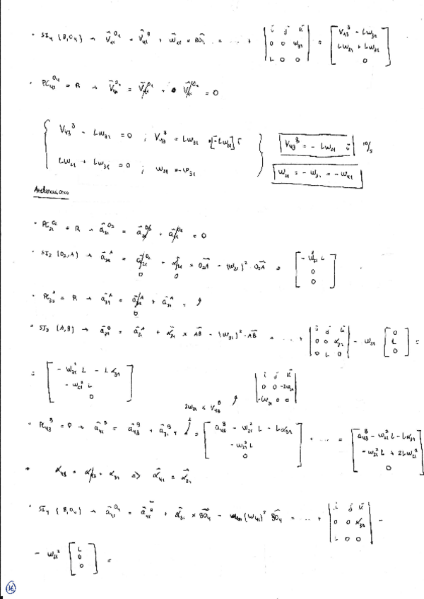
He publicado nuevos apuntes de 2º Mecánica de Fluidos: Formulario-Fluidos.pdf

3 páginas

He publicado nuevos apuntes de 2º Elasticidad y Resistencia de Materiales I: Formulario primer bloque.pdf

4 páginas

He publicado nuevos apuntes de 2º Electrónica: Formulario-electronica.pdf

5 páginas

He publicado nuevos examenes de 1º Expresión Gráfica y Diseño Asistido: DIBUJO-EXAMEN.pdf

2 páginas

He publicado nuevos apuntes de 2º Automática: Resumen-Teoria-Regulacion.pdf

6 páginas