@koabncdfr

40 Publicaciones

1.71k Interacciones

5 Seguidores

0 Siguiendo

Lista de publicaciones de koabncdfr

He publicado nuevos apuntes de 2º Electrotecnia: resumen-tema-1.docx

word

He publicado nuevos examenes de 1º Matemáticas I: examenes-resueltos.pdf

30 páginas

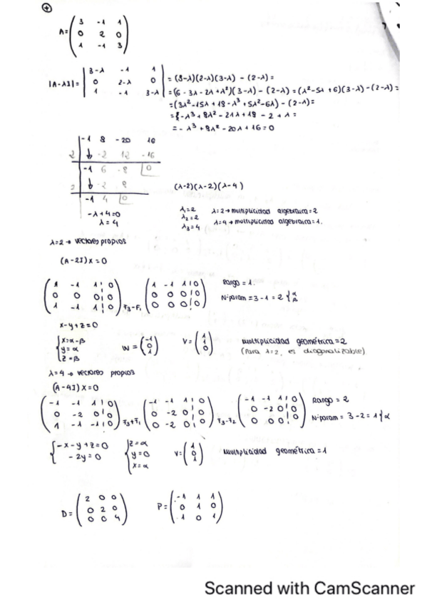
He publicado nuevos ejercicios de 1º Matemáticas I: diagonalizacion.pdf

9 páginas

He publicado nuevos apuntes de 1º Matemáticas I: teoria-diagonalizacion.pdf

1 página

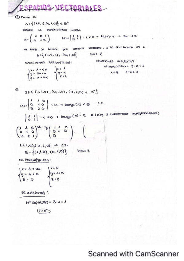
He publicado nuevos ejercicios de 1º Matemáticas I: espacios-vectoriales.pdf

7 páginas

He publicado nuevos apuntes de 1º Matemáticas I: teoria-espacios-vectoriales.pdf

1 página

He publicado nuevos ejercicios de 1º Matemáticas I: matrices.pdf

6 páginas

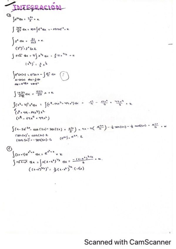
He publicado nuevos ejercicios de 1º Matemáticas I: integracion.pdf

3 páginas

He publicado nuevos apuntes de 1º Matemáticas I: derivacion.pdf

8 páginas

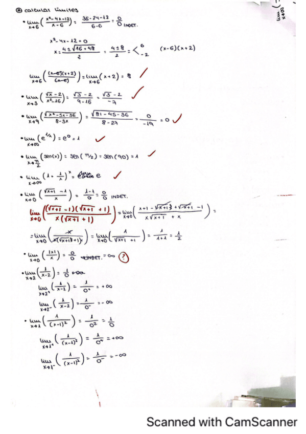
He publicado nuevos ejercicios de 1º Matemáticas I: funciones-limites-y-continuidad.pdf

14 páginas

He publicado nuevos ejercicios de 1º Matemáticas I: numeros-complejos.pdf

6 páginas

He publicado nuevos apuntes de 1º Física I: formulas-temas.pdf

11 páginas

He publicado nuevos apuntes de 1º Estadística: formulas-basicas.pdf

1 página

ejercicios

-

ejercicios temas

He publicado nuevos ejercicios de 1º Estadística: ejercicios temas

ejercicios-contraste-hipotesis.pdf
ejercicios-regresion-lineal.pdf
ejercicios-relacion-6-anova.pdf
relacion-tema-2.pdf

apuntes

-

teoría temas

He publicado nuevos apuntes de 1º Estadística: teoría temas

teoria-tema-3.pdf
variable-aleatoria.pdf

examenes

-

solución exámenes

He publicado nuevos examenes de 1º Estadística: solución exámenes

examen-estraordinaria-2022.pdf
examen-junio-2021.pdf
examen-ordinaria-2022.pdf

practicas

-

Problemas resueltos

He publicado nuevos practicas de 1º Fundamentos Químicos en la Ingeniería: Problemas resueltos

problemas-tema-1.pdf
problemas-tema-5.pdf
problemas-tema-6.pdf
problemas-tema-4.pdf
problemas-tema-2.pdf

apuntes

-

Resúmenes temas

He publicado nuevos apuntes de 1º Administración de Empresas: Resúmenes temas

resumen-tema-4-ade.pdf
resumen-tema-1-ade.pdf
resumen-tema-3-ade.pdf

practicas

-

Ejercicios pruebas

He publicado nuevos practicas de 1º Administración de Empresas: Ejercicios pruebas

prueba-1-practicas-ade.pdf
prueba-2-practicas-ade.pdf

practicas

-

Ejercicios prácticas

He publicado nuevos practicas de 1º Administración de Empresas: Ejercicios prácticas

ejercicios-practicas-graficas-pert-ade.pdf
ejercicios-practicas-tema-2-ade.pdf
ejercicios-practicas-tema-3-ade.pdf
ejercicios-practicas-tema-1-ade.pdf