@kokus

Estudios: Grado en Física (UEX) ...Mostrar más

32 Publicaciones

428 Interacciones

1 Seguidores

4 Siguiendo

Lista de publicaciones de kokus

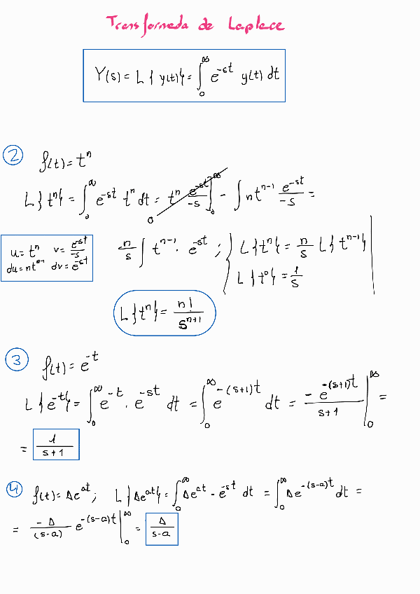
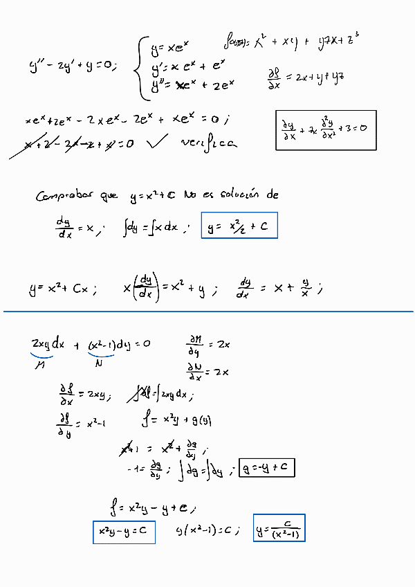
He publicado nuevos apuntes de 2º MÉTODOS COMPUTACIONALES II: Ecuaciones-diferenciales.pdf

2 páginas

He publicado nuevos apuntes de 2º MÉTODOS COMPUTACIONALES II: Derivacion-e-integracion.pdf

6 páginas

He publicado nuevos ejercicios de 2º Métodos matemáticos de la física I: Ejercicios-MMI.pdf

38 páginas

He publicado nuevos ejercicios de 2º Mecánica y Ondas II: Ejercicios-examenes-detallados.pdf

33 páginas

He publicado nuevos apuntes de 2º MÉTODOS COMPUTACIONALES II: Obtencion-de-raices.pdf

2 páginas

He publicado nuevos apuntes de 2º MÉTODOS COMPUTACIONALES II: Interpolacion.pdf

5 páginas

He publicado nuevos apuntes de 2º MÉTODOS COMPUTACIONALES II: Sistemas-de-ecuaciones.pdf

4 páginas

He publicado nuevos apuntes de 2º Termodinámica II: Resumen-teoria-tema-4-incompleto.pdf

8 páginas

He publicado nuevos apuntes de 2º Termodinámica II: Resumen-teoria-tema-3.pdf

9 páginas

He publicado nuevos ejercicios de 2º Mecánica y Ondas II: Ejercicios-de-examenes-detallados.pdf

33 páginas

apuntes

-

Ley tres y formulaciones alternativas ej y apuntes

He publicado nuevos apuntes de 2º Termodinámica I: Ley tres y formulaciones alternativas ej y apuntes

Ej-ley-tres.pdf
Formulaciones-alternativas-de-la-termodinamica.pdf
Ley-3.pdf

apuntes

-

Ley dos ejercicios y apuntes

He publicado nuevos apuntes de 2º Termodinámica I: Ley dos ejercicios y apuntes

Ej-ley-dos.pdf
Ej-segundo-parcial-ano-pasado.pdf
Ley-2.pdf

apuntes

-

Ley uno ejercicios y apuntes

He publicado nuevos apuntes de 2º Termodinámica I: Ley uno ejercicios y apuntes

Ej-ley-1.pdf
Ejercicios-examen-parcial.pdf
Experimento-De-Joule.pdf
Ley-uno.pdf

apuntes

-

Ley cero ejercicios y apuntes

He publicado nuevos apuntes de 2º Termodinámica I: Ley cero ejercicios y apuntes

Ecuaciones-de-estado.pdf
Ejercicios-ecuaciones-de-estado.pdf

He publicado nuevos ejercicios de 2º Mecanica y Ondas I: Tema-6 apuntes y ejercicios.pdf

24 páginas

He publicado nuevos apuntes de 2º Mecanica y Ondas I: Tema-7.pdf

4 páginas

He publicado nuevos ejercicios de 2º Mecanica y Ondas I: Tema-4 apuntes y ejercicios.pdf

24 páginas

He publicado nuevos ejercicios de 2º Mecanica y Ondas I: Tema-5 apuntes y ejercicios.pdf

9 páginas

He publicado nuevos ejercicios de 2º Mecanica y Ondas I: Tema-2 apuntes y ejercicios.pdf

8 páginas

He publicado nuevos apuntes de 2º Mecanica y Ondas I: Tema-0.pdf

4 páginas