@Kurosaki

38 Publicaciones

1.28k Interacciones

1 Seguidores

0 Siguiendo

Lista de publicaciones de Kurosaki

He publicado nuevos apuntes de 2º Análisis y diseño de algoritmos: Apuntes-acot.pdf

1 página

He publicado nuevos apuntes de 2º Análisis y diseño de algoritmos: Demostracion-principio-subestructura-opt.pdf

2 páginas

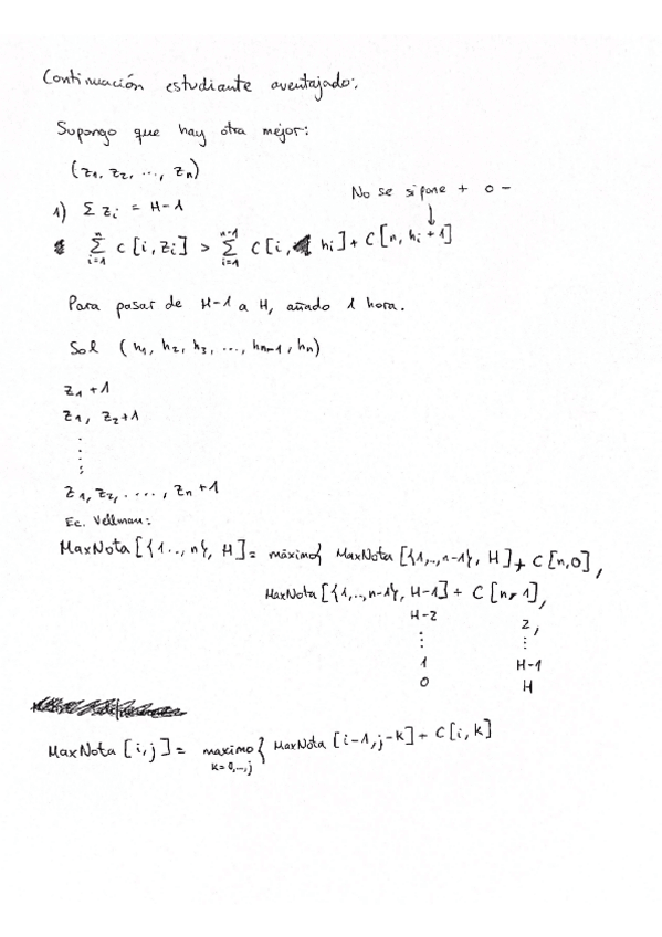
He publicado nuevos ejercicios de 2º Análisis y diseño de algoritmos: Problema-del-estudiante-aventajado.pdf

3 páginas

He publicado nuevos ejercicios de 2º Análisis y diseño de algoritmos: Problema-de-la-antena-resuelto.pdf

2 páginas

He publicado nuevos ejercicios de 3º Sistemas Inteligentes II: Ejercicios-de-estudio-para-examen-abril.pdf

8 páginas

He publicado nuevos ejercicios de 4º Planificación de Proyectos y Análisis de Riesgos: Ejercicios-tema-4.pdf

5 páginas

He publicado nuevos ejercicios de 4º Planificación de Proyectos y Análisis de Riesgos: Ejercicios-y-apuntes-tema-3.pdf

6 páginas

He publicado nuevos ejercicios de 4º Planificación de Proyectos y Análisis de Riesgos: Ejercicios-bloque-1.pdf

14 páginas

He publicado nuevos apuntes de 3º Procesadores de Lenguajes: Apuntes-de-PL-comprensibles-SD-LL1-etc.pdf

2 páginas

He publicado nuevos apuntes de 3º Procesadores de Lenguajes: Teoria-sobre-atributos.pdf

4 páginas

He publicado nuevos apuntes de 3º Procesadores de Lenguajes: Muchos-apuntes-analisis-sintactico.pdf

8 páginas

He publicado nuevos apuntes de 3º Procesadores de Lenguajes: Apuntes-Tema-1.pdf

6 páginas

He publicado nuevos ejercicios de 2º Análisis y diseño de algoritmos: Algunos-ejercicios-Tema-3-DyV.pdf

8 páginas

He publicado nuevos ejercicios de 2º Análisis y diseño de algoritmos: Algunos-ejerc.pdf

6 páginas

He publicado nuevos ejercicios de 2º Análisis y diseño de algoritmos: Algunos-ejercicios-Tema-5.pdf

7 páginas

He publicado nuevos ejercicios de 2º Análisis y diseño de algoritmos: Algunos-ejercicios-tema-2-especificacion.pdf

2 páginas

He publicado nuevos ejercicios de 2º Análisis y diseño de algoritmos: Ejercicios-Tema-1-Complejidad-de-algoritmos.pdf

15 páginas

He publicado nuevos ejercicios de 4º Planificación de Proyectos y Análisis de Riesgos: Algunos-ejer.pdf

7 páginas

He publicado nuevos ejercicios de 4º Planificación de Proyectos y Análisis de Riesgos: Algunos-ej-Tema-3-Planificacion-de-tareas-ver.pdf

7 páginas

He publicado nuevos ejercicios de 1º Metodos Estadisticos para la Computacion: Algunos-ejercicios-resueltos-temas-4-6.pdf

3 páginas