@L__A__

83 Publicaciones

4.92k Interacciones

0 Seguidores

0 Siguiendo

Lista de publicaciones de L__A__

examenes

-

Exámenes

He publicado nuevos examenes de 4º Simulación y Optimización de Procesos Químicos: Exámenes

Junio 2014.pdf
SyOPQ-03Sept14_AGB.pdf
SyOPQ Grado-C2-09Sep13.pdf
SyOPQ-08Sept14_AGB.pdf
SyOPQ-5IQ-10Sept14_AGB.pdf
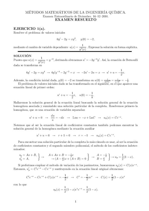
Diciembre 2013 Cuestión 1.pdf

He publicado nuevos examenes de 2º Fundamentos de Control Automático: Ju_0607_Todo.pdf

5 páginas

examenes

-

Exámenes

-

Examen Junio 2012 resuelto.pdf
Examen Junio 2013.pdf
Resuelto Septiembre 2012.pdf
Balance de energía sin reaccion química resuelto.pdf
Problema resuelto de determinacion cinética a partir de presiones.pdf
Problema de reactores de los apuntes (el 4) corregido y resuelto.pdf

He publicado nuevos apuntes de 3º Operaciones de Separación: Examen OS Junio 2016.pdf

4 páginas

He publicado nuevos apuntes de 3º Operaciones de Separación: Examen Separación.pdf

3 páginas

He publicado nuevos examenes de 3º Control e Instrumentación de Procesos Químicos: examen parcial control abril 2015.pdf

1 página

examenes

-

Exámenes 2013 sin resolver IQ

-

Diciembre 2012 (Sin Resolver).pdf
Febrero 2013 (Sin Resolver).pdf
Julio 2013 (Sin Resolver).pdf
Parcialito 2012 (Sin Resolver).pdf
Parcialito2 2013 (Sin Resolver).pdf

apuntes

-

Apuntes

-

Tema 6 Equilibrio.pdf
Tema 7 Recirculacion.pdf

-

1 página

examenes

-

Libros de Exámenes 2004-2010

Libros de exámenes de Alejandro que el mismo publica en EV. Valen para Aeronáuticos y Químicos aunque creo que para industrial también\r\n

Libro de examenes 2004 a 2008.pdf
Libro de examenes 2009 a 2010.pdf

examenes

-

Exámenes IE

-

Examen IE Junio 2014.pdf
Examen IE Junio y Septiembre 2013.pdf

-

10 páginas

examenes

-

Examenes IQ

-

Examen Finall Junio 2004.pdf
Examen Final Septiembre 2006.pdf
Examen Final Septiembre 2005.pdf
Examen Final Septiembre 2004.pdf
Examen final Junio 2007.pdf

examenes

-

Examen. Ciclones y camara sedim

-

Problema Ciclones (B y N).pdf
Problema Examen Camara sedimentación y multiciclón.pdf

apuntes

-

Temario 2014

-

Tema 6 Radiacion.PDF
Tema 7 Conveccion.PDF
Tema 8 Conveccion.PDF
Tema 9 Conveccion.PDF

ejercicios

-

Ejercicios Control de GIQ

-

SolucBoletin67FCQ.pdf
SolucBoletinT8.pdf
SolucionBoletinClaseProblemas.pdf
BoletinFCQ_ClaseProblemas.pdf
Boletin 2.pdf

examenes

-

Exámenes!!

-

1er Parcial Febrero 2013.pdf
2º Parcial Febrero 2013.pdf
EXAMEN Febrero 2008_09 RESUELTO0.pdf
Examen Junio 2008_090.pdf
Examen Septiembre 2007_080.pdf

-

6 páginas

apuntes

-

Temario

-

Tema 1 Introducción.pdf
Tema 2 Balance de materia.pdf
Tema 3 Balance de energía.pdf
Tema 4 Balance de materia y energía con RQ.pdf
Tema 5 Cinetica.pdf

-

138 páginas