@la_warra

16 Publicaciones

757 Interacciones

1 Seguidores

0 Siguiendo

Lista de publicaciones de la_warra

He publicado nuevos examenes de 3º Sistemas Inteligentes: 2-PARCIAL-2025-SOLUCIONADO.pdf

5 páginas

examenes

-

EXAMENES PL PARCIALES 2025

He publicado nuevos examenes de 3º Procesadores de Lenguajes: EXAMENES PL PARCIALES 2025

SegundoAlternativa25SolucionCompleta.pdf

examenes

-

EXAMENES PARCIALES 24-25 MODELADO

2 EXAMENES PARCIALES DEL CURSO 24-25 DE MODELADO CONCEPTUAL

Enunciado-ticketing.pdf
EnunciadoEventos.pdf

Examen de fisica de convocatoria de julio de 2025 entera resuelta por los profesores

9 páginas

EXAMEN DE CONVOCATORIA DE ENERO 2025, EL MÁS RECIENTE HASTA AHORA, ESTA ENTERO RESUELTO.

9 páginas

examenes

-

EXAMEN GRUPO 3 24-25

Examen parcial de IISSI 1 del curso 24-25 del grupo 3, con enunciado y zip para practicar para la convocatoria, modelo B

Modelo-B-enunciado.pdf
Miniatura no disponible
ModeloB-zip.zip

examenes

-

EXAMEN GRUPO 2 24-25

Examen parcial de IISSI 1 del curso 24-25 del grupo 2, con enunciado y zip

Miniatura no disponible
ModeloC-zip.zip

examenes

-

EXAMEN GRUPO 1 24-25

Examen modelo A del grupo 1 con el enunciado y el zip, es el parcial del curso 24-25

Modelo-A-ENUNCIADO.pdf
Miniatura no disponible
ModeloA-ZIP.zip

He publicado nuevos examenes de 2º Arquitectura de Redes: PRIMER-PARCIAL-2025-GRUPO-1-AR.pdf

2 páginas

He publicado nuevos examenes de 2º Redes de Computadores: 1-PARCIAL-RC-24-25-G3.pdf

4 páginas

He publicado nuevos examenes de 1º Fundamentos Físicos de la Informática: EXAMEN-CONVO-OCTUBRE-2024-RESUELTO.pdf

8 páginas

He publicado nuevos apuntes de 2º Matemática Discreta: 1-PARCIAL-MD.pdf

2 páginas

ejercicios

-

EJERCICIOS EXAMEN MODELO CONCEPTUAL RESUELTOS

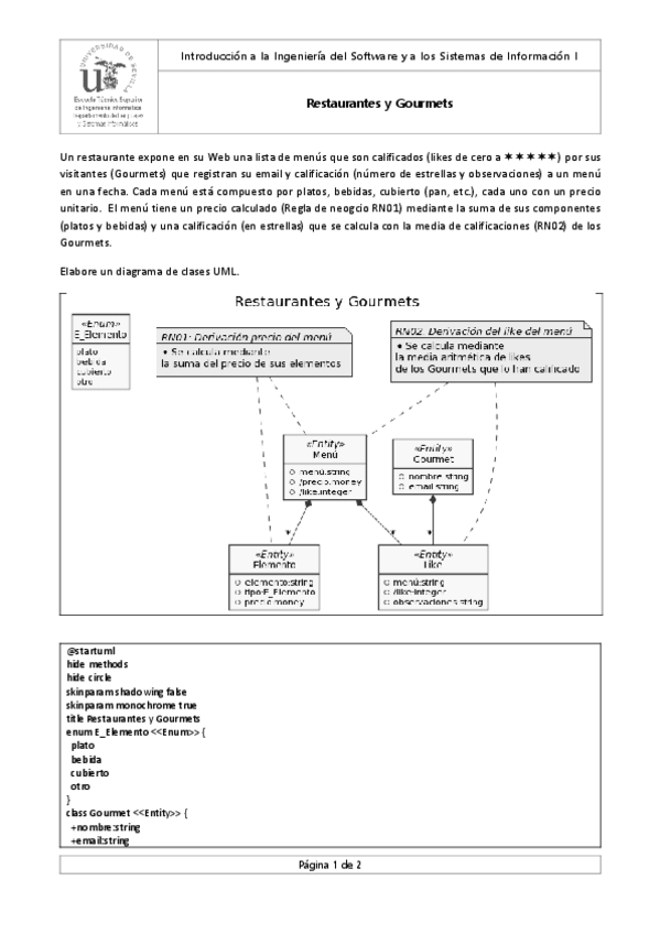
He publicado nuevos ejercicios de 2º Introducción a la Ingeniería del Software y los Sistemas de Información I: EJERCICIOS EXAMEN MODELO CONCEPTUAL RESUELTOS

03S-Problema-MC-Restaurantes-y-Gourmets.pdf