@laaragarci

13 Publicaciones

266 Interacciones

0 Seguidores

0 Siguiendo

Lista de publicaciones de laaragarci

He publicado nuevos examenes de 4º Aero-térmica de sistemas energéticos: 1stmidterm-2022-with-solution.pdf

6 páginas

Exercises and Multiple choice questions

28 páginas

Exercises and Multiple choice questions with notes

68 páginas

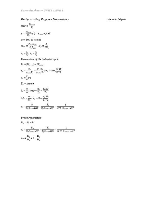
He publicado nuevos apuntes de 4º Energía en el Transporte: Formulario.pdf

1 página

He publicado nuevos examenes de 3º Energía Solar: SolutionFinalExamSolar2022.pdf

6 páginas

He publicado nuevos examenes de 1º Estadística: FINAL-EXAM-STATISTICS.pdf

4 páginas

He publicado nuevos examenes de 3º Transporte de fluidos y máquinas hidraúlicas: SEGUNDO-EXAMEN-PARCIAL-2021.pdf

pdf

He publicado nuevos examenes de 2º Ingeniería Fluidomecánica: SolEFE2021EXTRAORDINARYCALL.pdf

11 páginas

examenes

-

Todos los exámenes resueltos 2021

He publicado nuevos examenes de 2º Fundamentos de Ingeniería Electrónica: Todos los exámenes resueltos 2021

FIEOrdinario21PART1SOLVED.pdf
FIEOrdinario21PART1SOLVED.pdf
FIEOrdinario2021PART2SOL.pdf
FIEOrdinario2021PART2SOL.pdf
FIEExtraordinario2021Parte2SOL.pdf
FIEExtraordinario2021Parte2SOL.pdf