@LabSinFe

Estudios: Grado en Bioquímica (UMA) ...Mostrar más

Bio: estudiante de bioquímica según la matricula

48 Publicaciones

106 Interacciones

0 Seguidores

2 Siguiendo

Lista de publicaciones de LabSinFe

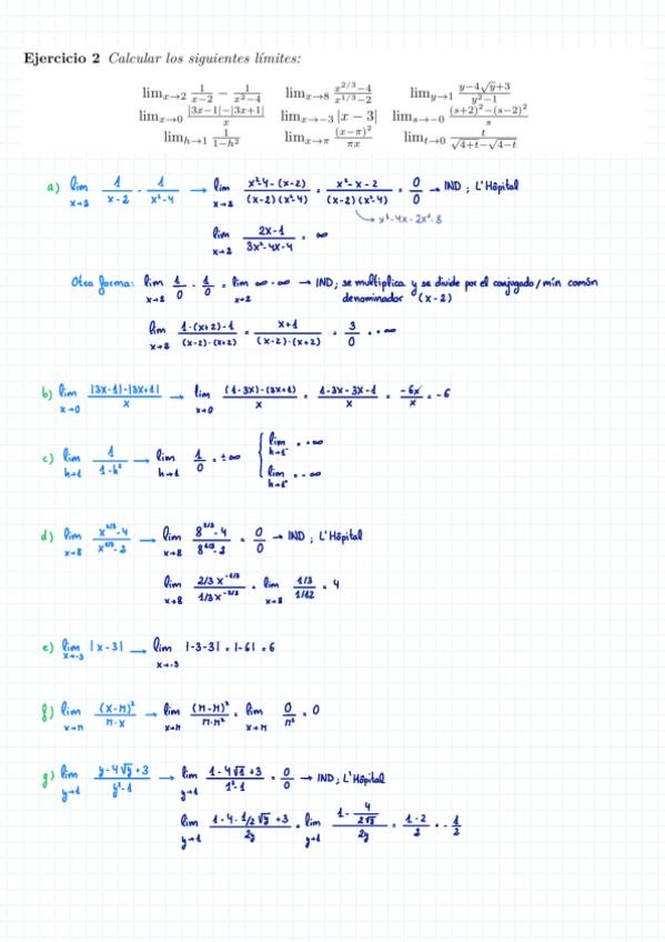
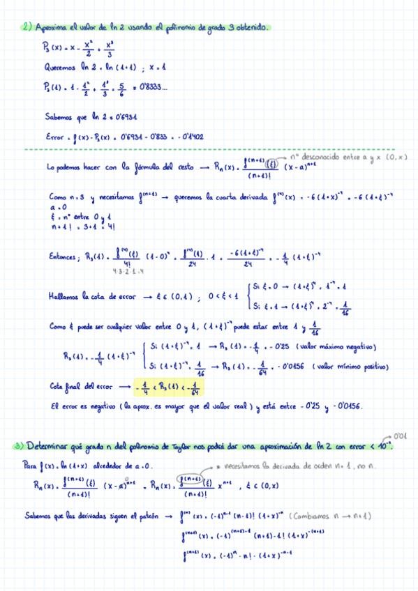
He publicado nuevos examenes de 1º Matemáticas Generales Aplicadas a la Bioquímica: Polinomio-de-Taylor-enero-2025.pdf

1 página

He publicado nuevos ejercicios de 1º Matemáticas Generales Aplicadas a la Bioquímica: hoja-3.pdf

13 páginas

He publicado nuevos ejercicios de 1º Matemáticas Generales Aplicadas a la Bioquímica: Hoja-2.pdf

20 páginas

He publicado nuevos apuntes de 1º Biología Celular: Bases-celulares-del-cancer.pdf

4 páginas

He publicado nuevos examenes de 1º Química Orgánica: Repaso-examen.pdf

15 páginas

He publicado nuevos examenes de 1º Química Orgánica: Examen-enero-2026.pdf

7 páginas

He publicado nuevos ejercicios de 1º Química Orgánica: Seminario-6.pdf

7 páginas

He publicado nuevos ejercicios de 1º Química Orgánica: Seminario-5.pdf

14 páginas

He publicado nuevos ejercicios de 1º Química Orgánica: Seminario-4.pdf

3 páginas

He publicado nuevos ejercicios de 1º Química Orgánica: Seminario-3.pdf

5 páginas

He publicado nuevos ejercicios de 1º Química Orgánica: Seminario-1-y-2.pdf

6 páginas

He publicado nuevos apuntes de 1º Química Orgánica: Reacciones-y-mecanismos.pdf

27 páginas

He publicado nuevos apuntes de 1º Química Orgánica: Metodos-espectroscopicos.pdf

14 páginas

He publicado nuevos apuntes de 1º Química Orgánica: Formas-resonantes.pdf

4 páginas

He publicado nuevos apuntes de 1º Química Orgánica: Estereoquimica.pdf

9 páginas

He publicado nuevos test de 1º Biología Celular: Preguntas-corregidas.pdf

10 páginas

He publicado nuevos apuntes de Fisiopatología General: Trastornos-hemodinamicos-y-vasculares.pdf

9 páginas

He publicado nuevos apuntes de Fisiopatología General: Trastornos-endocrinos.pdf

11 páginas

He publicado nuevos apuntes de Fisiopatología General: Trastornos-del-sistema-inmunitario.pdf

13 páginas

He publicado nuevos apuntes de Fisiopatología General: Sistema-urinario.pdf

13 páginas