@LAGONTO

Bio: Aquí podrás encontrar todos los apuntes, ejercicios, exámenes, tests y mucho más de la carrera ADE+FICO.

231 Publicaciones

2.82k Interacciones

4 Seguidores

0 Siguiendo

Lista de publicaciones de LAGONTO

He publicado nuevos ejercicios de 2º Introducción a la Econometría: EJERCICIO-HETEROCEDASTICIDAD.pdf

2 páginas

He publicado nuevos ejercicios de 2º Introducción a la Econometría: TEMA-2.-HETEROCEDASTICIDAD.-ESTIMADOR-MCG.pdf

5 páginas

He publicado nuevos ejercicios de 2º Introducción a la Econometría: EJERCICIO-TEMA-2-HETEROCEDASTICIDAD-Y-AUTOCORRELACION.pdf

5 páginas

He publicado nuevos ejercicios de 2º Introducción a la Econometría: EJERCICIO-ECONOMETRIA.-AUTOCORRELACION.pdf

5 páginas

He publicado nuevos ejercicios de 2º Introducción a la Econometría: EJERCICIO-DE-REPASO-ECONOMETRIA.pdf

2 páginas

He publicado nuevos test de 1º Microeconomía Intermedia: TIPO-TEST-TEMA-45-Y-6-MICROECONOMIA-INTERMEDIA.pdf

6 páginas

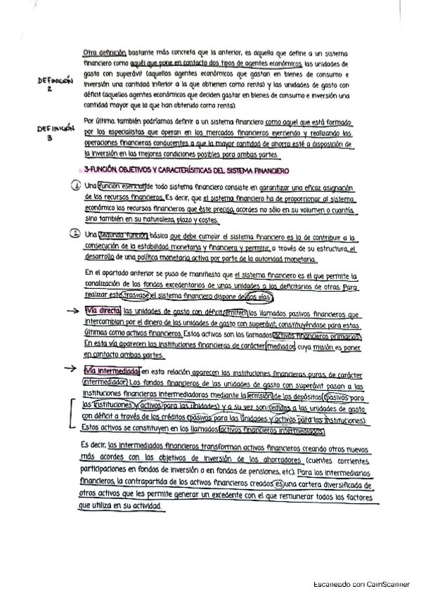
He publicado nuevos apuntes de 1º Apuntes Variados: TEMA-4-MERCADOS-FINANCIEROS-1.pdf

22 páginas

He publicado nuevos examenes de 1º Apuntes Variados: EJERCICIOS-DE-EXAMEN.pdf

2 páginas

He publicado nuevos ejercicios de 1º Apuntes Variados: SUPUESTOS-MERCADOS-FINANCIEROS-1.-TEMA-4.pdf

6 páginas

He publicado nuevos otros de 1º Apuntes Variados: NOTICIA-MERCADOS-FINANCIEROS-1.pdf

2 páginas

He publicado nuevos apuntes de 1º Apuntes Variados: TEMA-3-MERCADOS-FINANCIEROS-1.pdf

22 páginas

He publicado nuevos apuntes de 1º Apuntes Variados: TEMA-3-MERCADOS-FINANCIEROS.pdf

10 páginas

He publicado nuevos apuntes de 1º Apuntes Variados: TEMA-2-mercados-financieros-1.pdf

9 páginas

He publicado nuevos apuntes de 1º Apuntes Variados: FORMULAS-PARTE-FIJA-TEMA-5.pdf

4 páginas

He publicado nuevos ejercicios de 1º Apuntes Variados: EJERCICIO-2.21-COMPRAVENTA-DE-ACCIONES-Y-STOCK-SPLIT.pdf

2 páginas

He publicado nuevos examenes de 1º Apuntes Variados: SUPUESTO-4-MOODLE-BONOS-CONVERTIBLES.pdf

4 páginas

He publicado nuevos apuntes de 1º Apuntes Variados: FORMULAS-TEMA-4.pdf

4 páginas

He publicado nuevos ejercicios de 1º Apuntes Variados: SUPUESTO-5-VENTA-DE-OBLIGACIONES-Y-COMPRA-DE-ACCIONES.pdf

3 páginas

He publicado nuevos apuntes de 1º Apuntes Variados: Tema-1-Descripcion-y-caracteristicas-de-los-mercados-financieros.pdf

9 páginas

He publicado nuevos ejercicios de 1º Apuntes Variados: EJERCICIO-2.3-INVERSION-EN-OBLIGACIONES-DEL-ESTADO.pdf

2 páginas